Vui lòng chỉ chọn một câu hỏi
Hoidap247.com Nhanh chóng, chính xác
+
Danh mục mới
0
thực hieenh phép tính
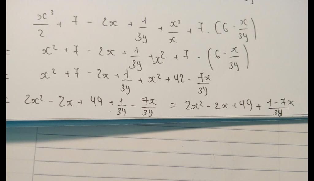
x^3/x+7-2x+1/3y + x^3/x+7 nhân 6-x/3y
Hãy luôn nhớ cảm ơn và vote 5* nếu câu trả lời hữu ích nhé!
15
1051
16
phép tính cuar bạn đây nha :
Hãy giúp mọi người biết câu trả lời này thế nào?
Bảng tin
Gửi yêu cầu Hủy