Vui lòng chỉ chọn một câu hỏi
Hoidap247.com Nhanh chóng, chính xác
+
Danh mục mới
0
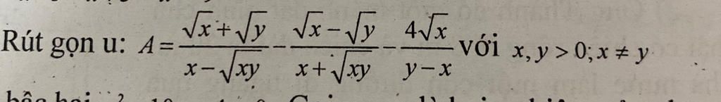
rút gọn ...với x.y>0
Hãy luôn nhớ cảm ơn và vote 5* nếu câu trả lời hữu ích nhé!
127
1788
65
Đáp án:
Giải thích các bước giải:
Nếu thấy đúng cho mình xin 5* và 1 tim ak
Hãy giúp mọi người biết câu trả lời này thế nào?
Xem thêm:
5
861
3
Bảng tin
Gửi yêu cầu Hủy