

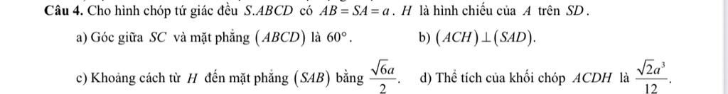
Giải cho mình câu c thôi ạ mik nghĩ mãi k ra
Hãy luôn nhớ cảm ơn và vote 5*
nếu câu trả lời hữu ích nhé!
`SA=AD=a=> triangle SAD` cân tại A
`=> H` là trung điểm `SD`
Ta có:
`(d(H,(SAB)))/(d(D,(SAB))) = (HS)/(DS) = 1/2`
`=> d(H,(SAB))= 1/2 d(D,(SAB))
Ta có:
`(d(D,(SAB)))/(d(O,(SAB))) = (DB)/(OB) = 2`
`=> d(D,(SAB))= 2 d(O,(SAB))`
`=> d(H,(SAB))= 1/2 . 2 d(O,(SAB)) = d(O,(SAB))`
Gọi K là trung điểm AB
`=> OK` là đường trung bình trong `triangle ABD`
`=>OK ` // `AD`
Mà `AD ⊥AB => OK⊥AB`
`OK⊥AB; AB ⊥SO =>AB⊥(OKS)`
Trong `(OKS),` kẻ `OM⊥SK`
`AB⊥(OKS)=>AB⊥OM`
`OM⊥AB,OM⊥SK=>OM⊥(SAB)`
`=>d(O,(SAB)) = OM`
`OK ` là đường trung bình trong `triangle ABD` `=>OK= 1/2 AD = a/2`
`SO = sqrt(SA^2 -AO^2) = sqrt(a^2 - ((a sqrt2)/2)^2) = (a sqrt2)/2`
Ta có:
1/(SO^2) + 1/(OK^2) = 1/(OM^2)`
`=> 1/((a sqrt2)/2)^2 + 1/((a/2)^2) = 1/(OM^2)`
`=>OM = (a sqrt6)/6`
`=> d(H,(SAB))= d(O,(SAB)) = (a sqrt6)/6`
Hãy giúp mọi người biết câu trả lời này thế nào?
Bảng tin