

Hãy luôn nhớ cảm ơn và vote 5*
nếu câu trả lời hữu ích nhé!
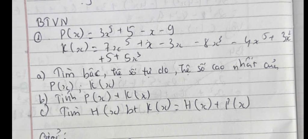
`1`
`a, P(x)=3x^5 +5-x-9`
`=3x^5 -x-4`
Bậc `:5`
Hệ số tự do `:-4`
Hệ số cao nhất `:3`
`K(x)=7x^5 +x-3x-8x^3 -4x^5 +3x^2 +5+5x^3`
`=3x^5 -3x^3 +3x^2-2x+5`
Bậc `:5`
Hệ số tự do `:5`
Hệ số cao nhất `:3`
`b, P(x)+K(x)`
`=3x^5-x-4 + 3x^5 -3x^3 +3x^2-2x+5`
`=6x^5 -3x^3 +3x^2 -3x+1`
`c, K(x)=H(x)+P(x)`
`3x^5 -3x^3 +3x^2-2x+5 = H(x)+3x^5 -x-4`
`H(x)=3x^5 -3x^3 +3x^2-2x+5 -3x^5 +x+4`
`H(x)=-3x^3+3x^2 -x+9`
Hãy giúp mọi người biết câu trả lời này thế nào?
`a. P(x) = 3x^5 +5 - x -9`
` = 3x^5 - x - 4`
`K(x) = 7x^5 + x - 3x - 8x^3 - 4x^5 + 3x^2 + 5 + 5x^3`
` = (7x^5 - 4x^5) + (x - 3x) + (- 8x^3+ 5x^3) + 3x^2 +5`
` = 3x^5 - 2x - 3x^3 +3x^2 +5`
` = 3x^5 - 3x^3 + 3x^2 - 2x+ 5`
+) Bậc của `P(x)` là `5`
HSTD của `P(x)` là `-4`
HSCN của `P(x)` là `3`
+)Bậc của `K(x)` là `5`
HSTD của `K(x)` là `5`
HSCN của `K(x)` là `3`
`b. P(x) + K(x) = (3x^5 - x - 4) + (3x^5 - 3x^3 + 3x^2 - 2x + 5)`
` = 3x^5 - x - 4 + 3x^5 - 3x^3 + 3x^2 - 2x + 5`
` = (3x^5 + 3x^5) + (-x - 2x) + (-4 + 5) - 3x^3 + 3x^2`
` = 6x^5 - 3x + 1 - 3x^3 + 3x^2`
` = 6x^5 - 3x^3 + 3x^2 - 3x + 1`
`c. K(x) = H(x) + P(x)`
`H(x) = K(x) - P(x) `
` = (3x^5 - 3x^3 + 3x^2 - 2x + 5) - (3x^5 - x - 4) `
` = 3x^5 - 3x^3 + 3x^2 - 2x + 5 - 3x^5 + x + 4`
` = (3x^5 - 3x^5) - 3x^3 + 3x^2 + (-2x + x) + (5 + 4)`
` = 0 - 3x^3 +3x^2 - x + 9`
` = - 3x^3 +3x^2 - x + 9`
`color{white}{chau3a2012}`
Hãy giúp mọi người biết câu trả lời này thế nào?
Bảng tin