

Hãy luôn nhớ cảm ơn và vote 5*
nếu câu trả lời hữu ích nhé!
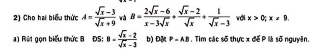
Đáp án + Giải thích các bước giải:
Với `x>0 , x\ne9` có :
` B = (2sqrtx - 6)/(sqrtx(sqrtx-3)) + (sqrtx-2)/(sqrtx) + 1/(sqrtx-3)`
`B = (2sqrtx-6)/(sqrtx(sqrtx-3)) + ((sqrtx-2)(sqrtx-3))/(sqrtx(sqrtx-3)) + (sqrtx)/(sqrtx(sqrtx-3))`
`B = (2sqrtx-6 + x - 5sqrtx+6 + sqrtx)/(sqrtx(sqrtx-3))`
`B = (x - 2sqrtx)/(sqrtx(sqrtx-3))`
`B = (sqrtx(sqrtx-2))/(sqrtx(sqrtx-3))`
`B = (sqrtx-2)/(sqrtx-3)`
Vậy `B = (sqrtx-2)/(sqrtx-3)` với `x>0 , x\ne9`
Hãy giúp mọi người biết câu trả lời này thế nào?
`a)`
`B=(2\sqrt{x}-6)/(x-3\sqrt{x})+(\sqrt{x}-2)/(\sqrt{x})+1/(\sqrt{x}-3)`
`B=(2(\sqrt{x}-3))/(\sqrt{x}(\sqrt{x}-3))+(\sqrt{x}-2)/(\sqrt{x})+1/(\sqrt{x}-3)`
`B=2/(\sqrt{x})+(\sqrt{x}-2)/(\sqrt{x})+1/(\sqrt{x}-3)`
`B=(\sqrt{x})/(\sqrt{x})+1/(\sqrt{x}-3)`
`B=1+1/(\sqrt{x}-3)`
`B=(\sqrt{x}-3+1)/(\sqrt{x}-3)`
`B=(\sqrt{x}-2)/(\sqrt{x}-3)`
Hãy giúp mọi người biết câu trả lời này thế nào?
Bảng tin