Đăng nhập để hỏi chi tiết


Làm tính chia
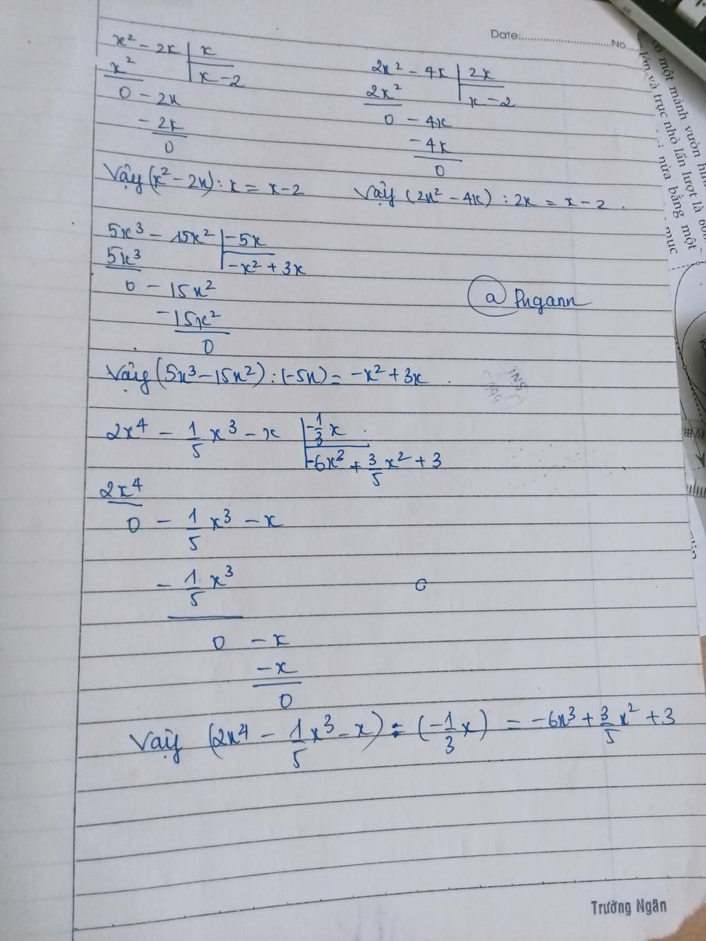
a, ( x2 - 2x ) : x
b, ( 2x2 - 4x ) : 2x
c, ( 5x3 - 15x2 ) : ( -5x )
d, ( 2x4 - 1/5x3 - x ) : ( -1/3x )
Hãy luôn nhớ cảm ơn và vote 5*
nếu câu trả lời hữu ích nhé!
Đáp án:
`a) (x^2-2x) : x`
`= x^2:x - 2x : x`
`= x-2`
`b) (2x^2-4x):2x`
`= 2x^2 : 2x - 4x : 2x`
`= x-2`
`c) (5x^3-15x^2):(-5x)`
`= 5x^3:(-5x) -15x^2 : (-5x)`
`= -x^2+3x`
`d) (2x^4-1/5x^3-x):(-1/3x)`
`= 2x^4:(-1/3x) - 1/5x^3:(-1/3x) - x :(-1/3x)`
`= -6x^3 + 3/5 x^2+3`
Hãy giúp mọi người biết câu trả lời này thế nào?
Bảng tin
326
184
304
mod ơi
326
184
304
cho em sửa câu này vs 7906612
8644
111640
5939
R đó x
326
184
304
oki
326
184
304
thank you