

Giải siêu chi tiết giúp mình 2 câu này với. Ghi rõ áp dụng công thức gì nh
Mình không cần hướng dẫn, chỉ cần lời giải!
Mk cảm ơn
Hãy luôn nhớ cảm ơn và vote 5*
nếu câu trả lời hữu ích nhé!
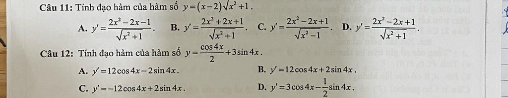
Câu 11:
`y' = [(x-2)sqrt(x^2 +1)]'`
`=(x-2)' sqrt(x^2 +1) + (x-2) (sqrt(x^2+1))'`
`= sqrt(x^2 +1) + (x-2) .(2x)/(2sqrt(x^2+1)) `
`= sqrt(x^2 +1) + (x-2) .x/sqrt(x^2+1) `
`= (x^2-2x +x^2+1)/sqrt(x^2+1) `
`= (2x^2-2x+1)/sqrt(x^2+1) `
`=>D`
Câu 12:
`y' = (cos(4x)/2 + 3sin(4x))'`
`= (cos(4x)/2)' + (3sin(4x))'`
`=(-4.sin(4x)/2) + 3.4cos(4x)`
`=-2sin(4x) + 12cos(4x)`
`=>A`
Hãy giúp mọi người biết câu trả lời này thế nào?
Bảng tin
15
5682
7
Câu 11 ở dấu bằng t3 cho mình hỏi sao lại ra được 2x/2.căn x^2+1 vậy?
2829
40820
1619
`(sqrtu)' = u'/(2sqrtu)`
2829
40820
1619
`(u')/(2sqrtu)`
15
5682
7
Ở dấu = t5 sao có 2x vậy t tìm hoài không ra
2829
40820
1619
`(x^2 +1)' = 2x`