Đăng nhập để hỏi chi tiết


dctfgvhjbenwlkmbq,vdoijgunbaocfaosf
Hãy luôn nhớ cảm ơn và vote 5*
nếu câu trả lời hữu ích nhé!
Đáp án:
Giải thích các bước giải:
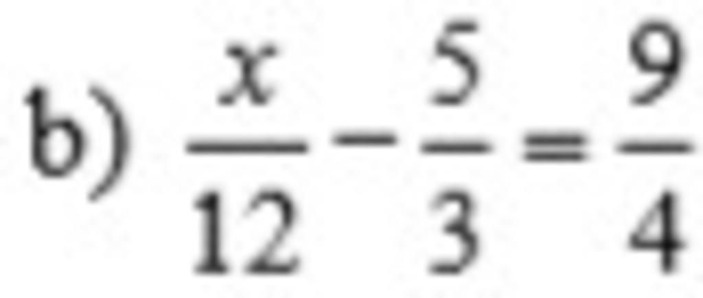
` X/12 - 5/3 = 9/4 `
` X/12 = 9/4 + 5/3 `
` X/12 = 27/12 + 20/12 `
` X/12 = 47/12 `
` X = 47 `
⇒ ` X = 47 `
` color{blue}{Chúc bạn học thật Tốt !!!}
Hãy giúp mọi người biết câu trả lời này thế nào?
Bảng tin
1610
318
2074
có 1 cái đăng hoài v tr Bazolizer
3061
434
2247
trau v
1610
318
2074
mặc dù ở nhóm khác nhưng t thấy thg đó có vẻ là có vđề
1610
318
2074
nhóm họ kệ mom ngta đi
1610
318
2074
lễ đi đou k m
3061
434
2247
ko bt
1610
318
2074
ở nhà đi là vừa
420
886
376
5547506