Vui lòng chỉ chọn một câu hỏi
Hoidap247.com Nhanh chóng, chính xác
+
Danh mục mới
0
24
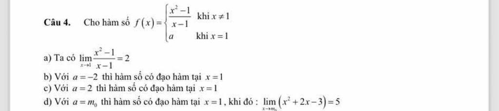
Ai cúu mình vớii câu 4 plsss
Bảng tin
Gửi yêu cầu Hủy