Cau trac nghiệm ta ngan.
Câu 1: Cho hình lăng trụ đứng ABC.A'B'C' có AB=5, AC =6,1=60". Khoảng cách giữa hai đường thẳng
AA' và BC ( làm tròn kết quả đến hàng phần mười)
Câu 2: Công ty giao hàng nhanh có 4 kho hàng 4,B,C và D. Quản lý muốn lên
kế hoạch cho xe giao hàng đi qua tất cả cá ...
Xem thêm
0
171
0
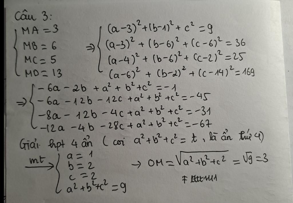
a=1. b=2. c=2. tính sao vậy
359
-286
161
vào nhs k ak?
1781
8447
745
sao tặng em v ạ