PH/HS Tham Gia Nhóm Lớp 10 Để Trao Đổi Tài Liệu, Học Tập Miễn Phí!
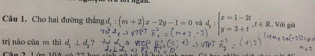
Câu 1. Cho hai đường thẳngd, : (m+2)x – 2y−1=0 và dy :
trị nào của m thì dị L d,
x=1-2t
= (+2,-2)² = 3+1
,t ∈ R. Với giá
(=1m+ 24(-2)2=0=1
từ chị vịch BCVT (12)
dz = =
-)
Câu 2 Lớm 101 có 20 hao ảnh nữ và 12 hảo sinh nam Chao nhiên
3=2
0
0
0
đổi dấu thêm 1 dấu trừ cho -2 đúng không ạ
145
2115
78
Tức là đổi vị trí hai số và đổi dấu của một số
0
0
0
vậy là thành -x-2 hay sao anh
0
0
0
số trước để ra sau số sau để ra trước đổi dấu chứ kh phải thêm dấu trừ ạ
145
2115
78
Um Đr
145
2115
78
Đổi dấu của một trong hai số
0
0
0
vậy n2=(-1;-2)vẫn đúng hay sao ạ
145
2115
78
Vẫn đúng nhưng số như thế thì không đẹp