Đăng nhập để hỏi chi tiết


Hãy luôn nhớ cảm ơn và vote 5*
nếu câu trả lời hữu ích nhé!
Đáp án`+`Giải thích các bước giải:
`a) (x+2)(2x-1)`
`=x(2x-1)+2(2x-1)`
`=2x^2-x+4x-2`
`=2x^2 +3x-2`
`b)`
Hãy giúp mọi người biết câu trả lời này thế nào?

`a, (x + 2)(2x - 1)`
`= x(2x - 1) + 2(2x - 1)`
`= 2x^2 - x + 4x - 2`
`= 2x^2 + 3x - 2`
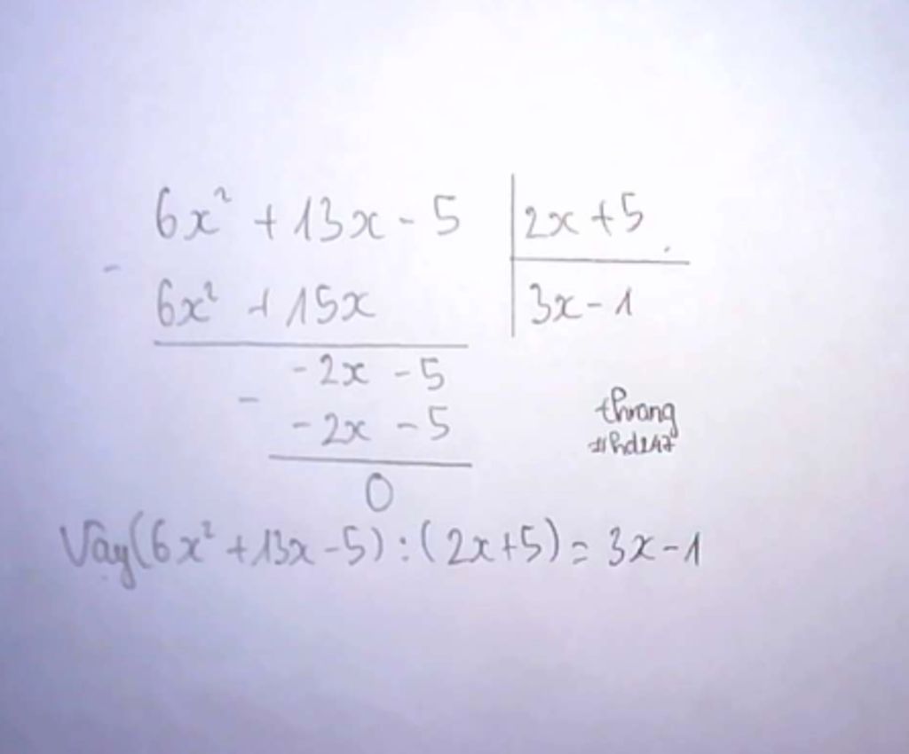
`b,` Hình ảnh `↓↓↓`
`---`
`@zil`
Hãy giúp mọi người biết câu trả lời này thế nào?
Bảng tin