

Hãy luôn nhớ cảm ơn và vote 5*
nếu câu trả lời hữu ích nhé!
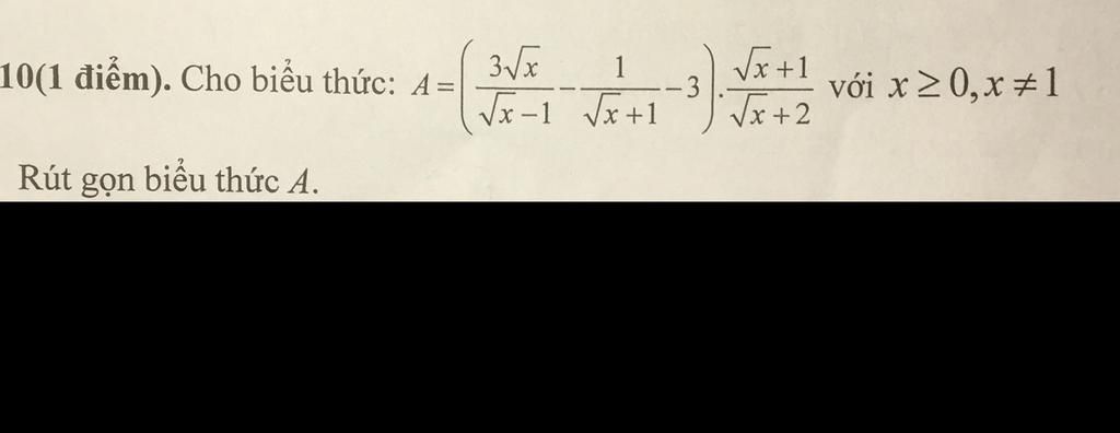
`A=((3\sqrt{x})/(\sqrt{x}-1)-(1)/(\sqrt{x}+1)-3).(\sqrt{x}+1)/(\sqrt{x}+2)` với `x>=0;x\ne1`
`=[(3\sqrt{x}(\sqrt{x}+1))/((\sqrt{x}-1)(\sqrt{x}+1))-(\sqrt{x}-1)/((\sqrt{x}+1)(\sqrt{x}-1))-(3(\sqrt{x}-1)(\sqrt{x}+1))/((\sqrt{x}-1)(\sqrt{x}+1))].(\sqrt{x}+1)/(\sqrt{x}+2)`
`=[(3x+3\sqrt{x}-\sqrt{x}+1-3x+3)/((\sqrt{x}-1)(\sqrt{x}+1))].(\sqrt{x}+1)/(\sqrt{x}+2)`
`=(2\sqrt{x}+4)/((\sqrt{x}-1)(\sqrt{x}+1)).(\sqrt{x}+1)/(\sqrt{x}+2)`
`=(2(\sqrt{x}+2))/((\sqrt{x}-1)(\sqrt{x}+1)).(\sqrt{x}+1)/(\sqrt{x}+2)`
`=(2)/(\sqrt{x}-1)`
Hãy giúp mọi người biết câu trả lời này thế nào?
Bảng tin