

Hãy luôn nhớ cảm ơn và vote 5*
nếu câu trả lời hữu ích nhé!
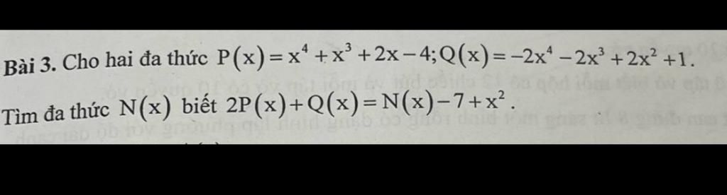
`2.P(x) + Q(x) = N(x) - 7 + x^2`
`2.(x^4 + x^3 + 2x - 4) + (-2x^4 - 2x^3 + 2x^2 + 1) = N(x) - 7 + x^2`
`2.x^4 + 2.x^3 + 4x - 8 - 2x^4 - 2x^3 + 2x^2 + 1 + 7 - x^2 = N(x)`
`(2x^4 - 2x^4) + (2x^3 - 2x^3) + 2x^2 - x^2 + (1+7-8) = N(x)`
`x^2 = N(x)`
#Yoshimoto Shizuka
Hãy giúp mọi người biết câu trả lời này thế nào?
Đáp án:
Giải thích các bước giải:
`2P(x) + Q(x) = N(x) - 7+x^2`
`2(x^4 +x^3 + 2x - 4) + (-2x^4 - 2x^3 + 2x^2 + 1) = N(x) - 7 + x ^2`
`2x^4 + 2x^3 + 4x - 8 - 2x^4 - 2x^3 + 2x^2 + 1 = N(x) - 7 +x^2`
`(2x^4 - 2x^4) + (2x^3 - 2x^3) - (8-1) + 4x + 2x^2 = N(x) - 7 + x^2`
`-7 + 4x + 2x^2 = N(x) -7 + x^2`
`N(x) = -7 + 4x + 2x^2 + 7 - x^2`
`N(x) = (-7+7) + (2x^2 - x^2) + 4x`
`N(x) = x^2 + 4x`
Vậy `N(x) = x^2 + 4x`
Hãy giúp mọi người biết câu trả lời này thế nào?
Bảng tin
0
0
0
nhanh thế
3763
7332
3019
kệ mình
646
183
481
tham gia event nhóm mình k ạ
3763
7332
3019
mình ko ạ
646
183
481
ok