

C31: Câu nào đúng khi nói về stiren:
A. Stiren là đồng đẳng của benzene B. Stiren là đồng đẳng của etilen
C. Stiren là hidrocarbon thơm D. Stiren là hidrocarbon không no
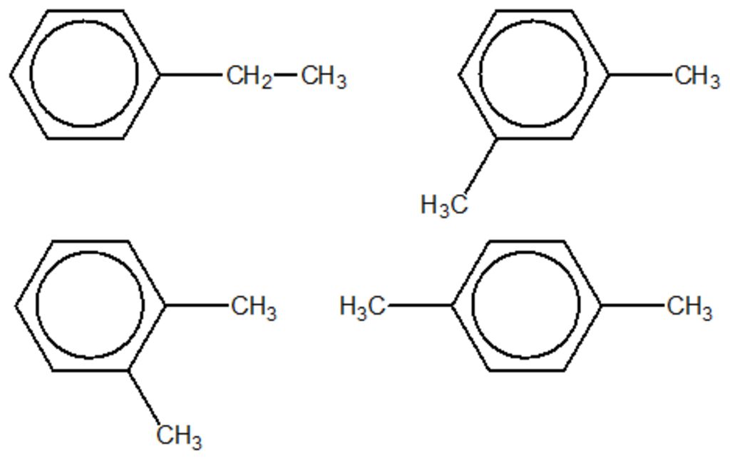
C32: Một đồng đẳng của benzene có CTPT C8H10. Số đồng phân thơm của chất này là:
A. 1 B.2 C. 3 D.4
Hãy luôn nhớ cảm ơn và vote 5*
nếu câu trả lời hữu ích nhé!
Câu 31: A, C, D đều đúng
Câu 32: D. 4
`o-CH_3-C_6H_4-CH_3`
`m-CH_3-C_6H_4-CH_3`
`p-CH_3-C_6H_4-CH_3`
`C_6H_5-CH_2CH_3`
Hãy giúp mọi người biết câu trả lời này thế nào?
C31: Câu nào đúng khi nói về stiren:
A. Stiren là đồng đẳng của benzene
B. Stiren là đồng đẳng của etilen
C. Stiren là hidrocarbon thơm
D. Stiren là hidrocarbon không no
C32: Một đồng đẳng của benzene có CTPT C8H10. Số đồng phân thơm của chất này là:
A. 1 B.2 C. 3 D.4
Hãy giúp mọi người biết câu trả lời này thế nào?
Bảng tin