Tham Gia Group Dành Cho Lớp 9 - Ôn Thi Vào Lớp 10 Miễn Phí
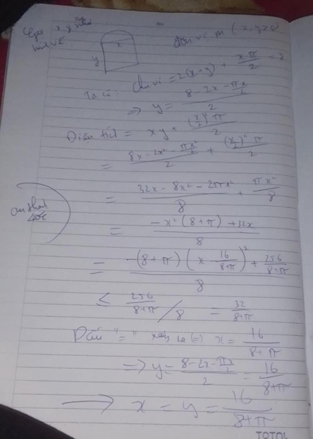
b) Bác An muốn làm một cửa sổ khuôn gỗ,
phía trên có dạng nửa hình tròn, phía dưới có dạng
hình chữ nhật (như trong hình). Biết rằng đường
kính của nửa hình tròn cũng là cạnh phía trên của
hình chữ nhật và tổng độ dài của khuôn gỗ (các
đường in đậm trong hình bên, bỏ qua độ rộng của
cạ ...