

trả lời câu hỏi sau:
Hãy luôn nhớ cảm ơn và vote 5*
nếu câu trả lời hữu ích nhé!
Đáp án+Giải thích các bước giải:
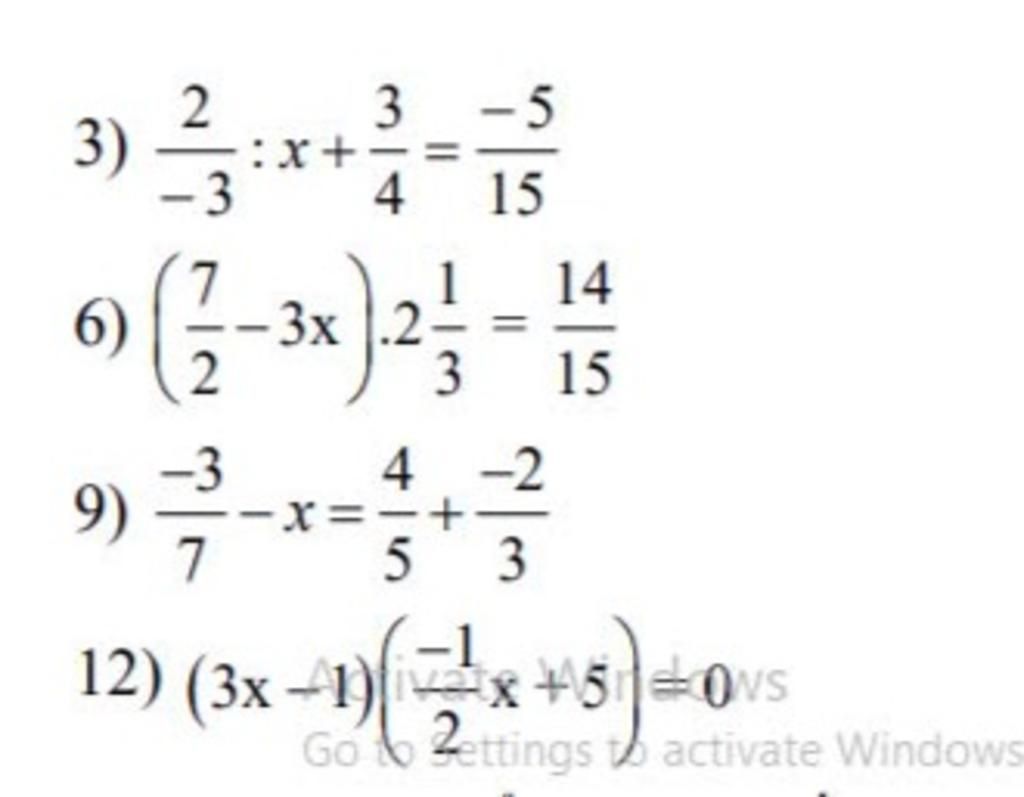
3) $\frac{2}{-3}$ ÷ x + $\frac{3}{4}$ = $\frac{-1}{3}$
$\frac{-2}{3}$ ÷ x = $\frac{-1}{3}$ - $\frac{3}{4}$ = $\frac{-13}{12}$
x = $\frac{-2}{3}$ ÷ $\frac{-13}{12}$ = $\frac{-2}{3}$ × $\frac{-12}{13}$ = $\frac{8}{13}$
6) ($\frac{7}{2}$ - 3x ) = $\frac{14}{15}$ × $\frac{3}{7}$ = $\frac{2}{5}$
3x = $\frac{7}{2}$ - $\frac{2}{5}$ = $\frac{31}{10}$
x = $\frac{31}{30}$
9) $\frac{-3}{7}$ - x = $\frac{4}{5}$ - $\frac{2}{3}$ = $\frac{2}{15}$
x = $\frac{-3}{7}$ - $\frac{2}{15}$ = $\frac{-59}{105}$
12) ( 3x - 1 )($\frac{-1}{2}$x + 5 ) = 0
Xét 2 trường hợp :
Trường hợp 1 : 3x - 1 = 0 ⇒ x = $\frac{1}{3}$
Trường hợp 2 : ($\frac{-1}{2}$x + 5 ) = 0
$\frac{-1}{2}$x = -5
⇒ x = -5 × -2 = 10
Hãy giúp mọi người biết câu trả lời này thế nào?

Đáp án$+$Giải thích các bước giải:
`3)``2/-3:x+3/4=-5/15`
`-2/3:x=-1/3-3/4`
`x=-2/3:(-13)/12`
`x=-2/3. (-12)/13`
`x=8/13`
Vậy `x=8/13`
`----------`
`6)``(7/2-3x). 2 1/3=14/15`
`(7/2-3x). 7/3=14/15`
`7/2-3x=14/15:7/3`
`7/2-3x=14/15. 3/7`
`3x=7/2-2/5`
`x=31/10:3`
`x=31/10. 1/3`
`x=31/30`
Vậy `x=31/30`
`----------`
`9)``-3/7-x=4/5+(-2)/3`
`-3/7-x=4/5-2/3`
`x=-3/7-2/15`
`x=-59/105`
Vậy `x=-59/105`
`-----------`
`12)``(3x-1)(-1/2x+5)=0`
`3x-1=0` hoặc `-1/2x+5=0`
`TH1:`
`3x-1=0`
`3x=1`
`x=1/3`
Vậy `x=1/3`
`TH2:`
`-1/2x+5=0`
`-1/2x=-5`
`x=-5:(-1)/2`
`x=-5. (-2)`
`x=10`
Vậy `x\in{1/3;10}`
Hãy giúp mọi người biết câu trả lời này thế nào?

Bảng tin
76
1632
28
giờ máy mik còn ko thấy cảm ơn đâu nx
207
220
149
=(
76
1632
28
đc chx
207
220
149
thanks kiu