

Giúp mình với mình ko hiểu cho lắm
Hãy luôn nhớ cảm ơn và vote 5*
nếu câu trả lời hữu ích nhé!
Đáp án+Giải thích các bước giải
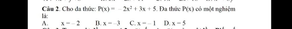
Xét P(x)=-2x²+3x+5=0
⇒ 2x²+2x-5x-5=0
⇒2x(x+1)-5(x+1)=0
⇒(x+1)(2x-5)=0
⇒x+1=0 hoặc 2x-5=0
hay x=-1 hoặc x= $\frac{5}{2}$
⇒x∈(-1;$\frac{5}{2}$)
Vậy : C là đáp án đúng
~trananhtuan5h~
CHÚC BẠN HỌC TỐT
Hãy giúp mọi người biết câu trả lời này thế nào?
Bảng tin