Vui lòng chỉ chọn một câu hỏi
Hoidap247.com Nhanh chóng, chính xác
+
Danh mục mới
2
205
0
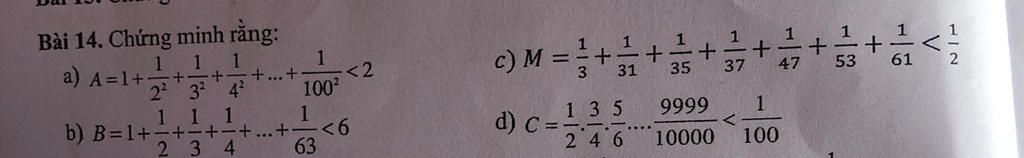
Héo kì giúp mình với
Bảng tin
Gửi yêu cầu Hủy