

mn giúp em bài này với ah
Hãy luôn nhớ cảm ơn và vote 5*
nếu câu trả lời hữu ích nhé!
Đáp án`+`Giải thích các bước giải:
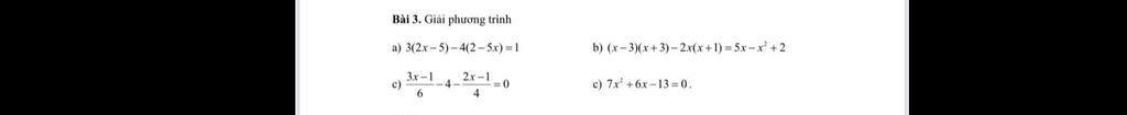
`a) 3(2x-5)-4(2-5x)=1`
`6x-15-8+20x=1`
`6x+20x=15+8+1`
`26x=24`
`x=12/13`
Vậy `x=12/13` là nghiệm của phương trình
`b) (x-3)(x+3)-2x(x+1)=5x-x^2+2`
`x^2-9-2x^2-2x-5x+x^2=2`
`(x^2-2x^2+x^2)+(-2x-5x)=9+2`
`-7x=11`
`x=-11/7`
Vậy `x=-11/7` là nghiệm của phương trình
`c) (3x-1)/6-4-(2x-1)/4=0`
`2(3x-1)-48 -3(2x-1)=0`
`6x-2-48-6x+3=0`
`-47=0`
Vậy phương trình vô nghiệm
`d) 7x^2 +6x-13=0`
`7x^2 -7x+13x -13=0`
`(7x^2-7x)+(13x-13)=0`
`7x(x-1)+13(x-1)=0`
`(x-1)(7x+13)=0`
`x-1=0` hoặc `7x+13=0`
`x=1` `7x=-13`
`x=-13/7`
Vậy `x∈{1;-13/7}` là nghiệm của phương trình
Hãy giúp mọi người biết câu trả lời này thế nào?
Bảng tin
2014
410
1544
ôi trời ebe ngốc của tôi, xem lại câu d) đi
2014
410
1544
nó chỉ thiếu có chút xíu th là đúng r:D
2464
229
2334
như nèo?
2014
410
1544
hmmm, tắt quá tắt quá
2464
229
2334
hai phải gọi em bằng điện thoại 😏
2014
410
1544
à vâng ạ, xem lại dòng 3 và 4 ạ:D