Tham Gia Group Dành Cho Lớp 7 Chia Sẻ, Trao Đổi Tài Liệu Miễn Phí
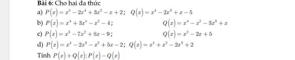
Bài 6: Cho hai đa thức
a) P(x) = x³-2x+3x²-x+2; Q(x) = x+ -2x³+x-5
b) P(x)=x+3x-x²-4;
c) P(x)=-7x² + 8x - 9;
Q(x) = x - x² - 3x3 + x
Q(x) = x²-2x+5
d) P(x)=x+2x3x² +5x-2; Q(x) = x² + x²-2x³ +2
Tính P(x)+Qz);Pz)-Q(2)