Vui lòng chỉ chọn một câu hỏi
Hoidap247.com Nhanh chóng, chính xác
+
Danh mục mới
0
70
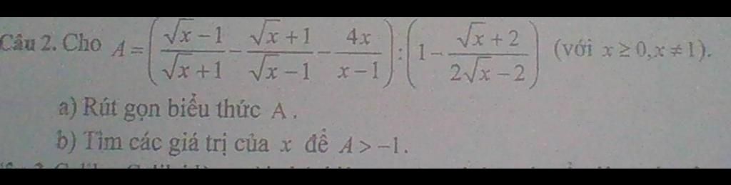
làm hộ mình bài này vs mn ơiii
Xem thêm:
Bảng tin
Gửi yêu cầu Hủy