

Hãy luôn nhớ cảm ơn và vote 5*
nếu câu trả lời hữu ích nhé!

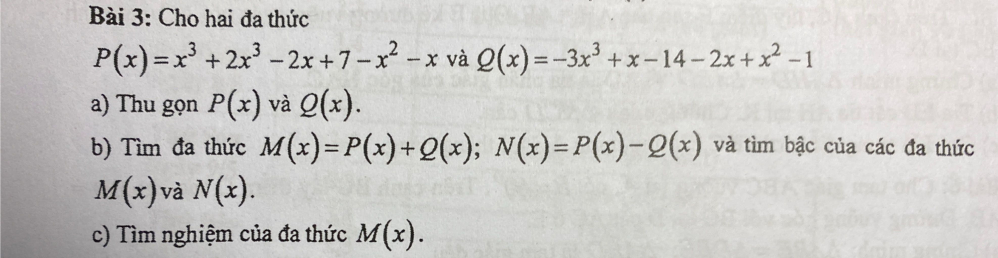
Giải thích các bước giải:
a.Ta có:
$P(x)=x^3+2x^3-2x+7-x^2-x$
$\to P(x)=3x^3-2x+7-x^2-x$
$\to P(x)=3x^3-x^2-2x-x+7$
$\to P(x)=3x^3-x^2-3x+7$
Ta có:
$Q(x)=-3x^3+x-14-2x+x^2-1$
$\to Q(x)=-3x^3+x^2+x-2x-14-1$
$\to Q(x)=-3x^3+x^2-x-15$
b.Ta có:
$M(x)=P(x)+Q(x)$
$\to M(x)=(3x^3-x^2-3x+7)+(-3x^3+x^2-x-15)$
$\to M(x)=-4x-8$
$\to M(x)$ có bậc $1$
Ta có:
$N(x)=P(x)-Q(x)$
$\to N(x)=(3x^3-x^2-3x+7)-(-3x^3+x^2-x-15)$
$\to N(x)=6x^3-2x^2-2x+22$
$\to N(x)$ có bậc $3$
c.Ta có: $M(x)=0\to -4x-8=0\to -4x=8\to x=-2$
Hãy giúp mọi người biết câu trả lời này thế nào?
Bảng tin