Vui lòng chỉ chọn một câu hỏi
Hoidap247.com Nhanh chóng, chính xác
+
Danh mục mới
116
730
52
giúp mik với nha mấy ní ( nếu muốn thêm điểm bảo mik )
Hãy luôn nhớ cảm ơn và vote 5* nếu câu trả lời hữu ích nhé!
35
902
18
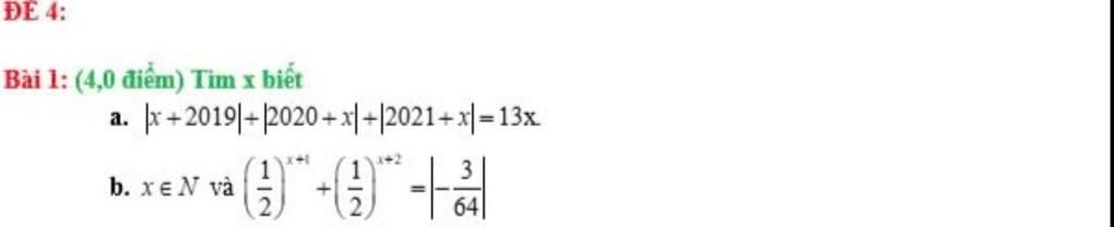
a.
`|x + 2019| + |2020 + x| + |2021 + x| = 13x`
`=> 3x + 6060 = 1`
b.
`(1/2)^x+1 + (1/2)^x+2 = 3/64`
`=> 1/ 2^x+1 + 1/ 2^x+2 = 3/64`
`=> 3/ 2^x+2 = 3/64`
`=> 2^x+2 = 64 = 2^6`
`=> x + 2 = 6`
`=> x =4`
Hãy giúp mọi người biết câu trả lời này thế nào?
440
7043
520
ok bn
về việc chỉnh 😅
mik lỡ đăng xuất xong quên mậ khẩu mail luôn r
mai mik lấy lại đ thoại mới dùng đ acc bn ơi
oh=) nhưng h sao
mik cảm ơn bn nhiều vì đã thông cảm ạ 😅
kcj á
Bảng tin
Gửi yêu cầu Hủy
440
7043
520
ok bn
440
7043
520
về việc chỉnh 😅
440
7043
520
mik lỡ đăng xuất xong quên mậ khẩu mail luôn r
440
7043
520
mai mik lấy lại đ thoại mới dùng đ acc bn ơi
116
730
52
oh=) nhưng h sao
116
730
52
ok bn
440
7043
520
mik cảm ơn bn nhiều vì đã thông cảm ạ 😅
116
730
52
kcj á