

`G``i``ú``p` `!!!!!!!!!!!!!!!!!!!!!!!!!!`
Hãy luôn nhớ cảm ơn và vote 5*
nếu câu trả lời hữu ích nhé!
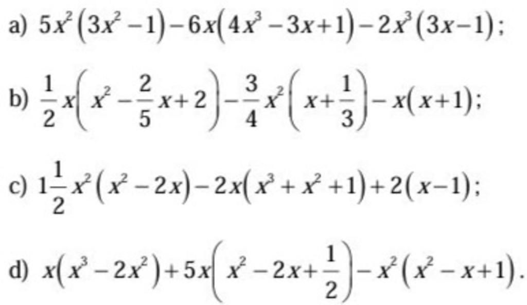
`a)`
`5x^2(3x^2 - 1) - 6x(4x^3 - 3x + 1) - 2x^3(3x - 1)`
`= 15x^4 - 5x^2 - 24x^4 + 18x^2 - 6x - 6x^4 + 2x^3`
`= (15x^4 - 24x^4 - 6x^4) + 2x^3 + (-5x^2 + 18x^2) - 6x`
`= -15x^4 + 2x^3 + 13x^2 - 6x`
`b)`
`1/2x(x^2 - 2/5x + 2) - 3/4x^2(x + 1/3) - x(x + 1)`
`= 1/2x^3 - 1/5x^2 + x - 3/4x^3 - 1/4x^2 - x^2 - x`
`= (1/2x^3 - 3/4x^3) + (-1/5x^2 - 1/4x^2 - x^2) + (x - x)`
`= -1/4x^3 - 29/20x^2`
`c)`
`1 1/2x^2(x^2 - 2x) - 2x(x^3 + x^2 + 1) + 2(x - 1)`
`= 3/2x^4 - 3x^3 - 2x^4 - 2x^3 - 2x + 2x - 2`
`= (3/2x^4 - 2x^4) + (-3x^3 - 2x^3) + (-2x + 2x) - 2`
`= -1/2x^4 - 5x^3 - 2`
`d)`
`x(x^3 - 2x^2) + 5x(x^2 - 2x + 1/2) - x^2(x^2 - x + 1)`
`= x^4 - 2x^3 + 5x^3 - 10x^2 + 5/2x - x^4 + x^3 - x^2`
`= (x^4 - x^4) + (-2x^3 + 5x^3 + x^3) + (-10x^2 - x^2) + 5/2x`
`= 4x^3 - 11x^2 + 5/2x`
Hãy giúp mọi người biết câu trả lời này thế nào?

`@` Angelmare
Đáp án:
a) `5x^2(3x^2-1)-6x(4x^3-3x+1)-2x^3(3x-1)`
`=15x^4-5x^2-24x^4+18x^2-6x-6x^4+2x^3`
`=(15x^4-24x^4-6x^4)+2x^3-(5x^2-18x^2)-6x`
`=-15x^4+2x^3+13x^2-6x`
b) `1/2x(x^2-2/5x+2)-3/4x^2(x+1/3)-x(x+1)`
`=1/2x^3-1/5x^2+x-3/4x^3-1/4x^2-x^2-x`
`=(1/2x^3-3/4x^3)-(1/5x^2+1/4x^2+x^2)+(x-x)`
`=-1/4x^3-29/20x^2`
c) `1 1/2x^2(x^2-2x)-2x(x^3+x^2+1)+2(x-1)`
`=3/2x^4-3x^3-2x^4-2x^3-2x+2x-2`
`=(3/2x^4-2x^4)-(3x^3+2x^3)-(2x-2x)-2`
`=-1/2x^4-5x^3-2`
d) `x(x^3-2x^2)+5x(x^2-2x+1/2)-x^2(x^2-x+1)`
`=x^4-2x^3+5x^3-10x^2+5/2x-x^4+x^3-x^2`
`=(x^4-x^4)-(2x^3-5x^3-x^3)-(10x^2+x^2)+5/2x`
`=4x^3-11x^2+5/2x`
Hãy giúp mọi người biết câu trả lời này thế nào?
Bảng tin