Đăng nhập để hỏi chi tiết


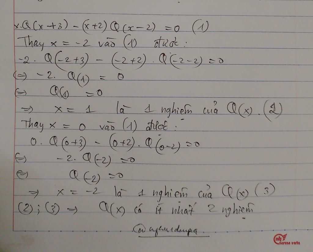
Cho đa thức Q ( x ) thỏa mãn điều kiện: x . Q ( x + 3 ) −( x + 2 ) . Q ( x − 2 ) = 0 với mọi x ∈ R . CMR đa thức Q ( x ) có ít nhất 2 nghiệm dấu = đầu dòng cho mình nhé
Hãy luôn nhớ cảm ơn và vote 5*
nếu câu trả lời hữu ích nhé!
Bảng tin