

Hãy luôn nhớ cảm ơn và vote 5*
nếu câu trả lời hữu ích nhé!
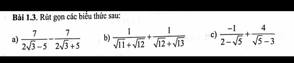
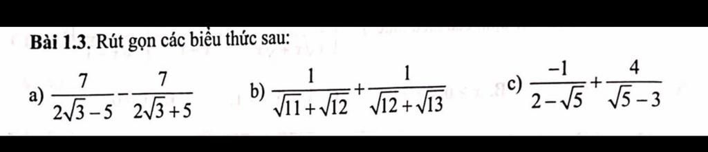
`1.3`
`a)7/(2sqrt3-5)-7/(2sqrt3+5)`
`=(7(2sqrt3+5))/((2sqrt3+5)(2sqrt3-5))-(7(2sqrt3-5))/((2sqrt3-5)(2sqrt+5))`
`=(14sqrt3+35-14sqrt3+35)/(12-25)`
`=70/(-13)`
`=-70/13`
`b`
`1/(sqrt11+sqrt12)+1/(sqrt12+sqrt13)`
`=(sqrt12-sqrt11)/((sqrt12+sqrt11)(sqrt12-sqrt11))+(sqrt13-sqrt12)/((sqrt13-sqrt12)(sqrt12+sqrt13)`
`=sqrt12-sqrt11+sqrt13-sqrt12`
`=sqrt13-sqrt11`
`c`
`(-1)/(2-sqrt5)+4/(sqrt5-3)`
`=1/(sqrt5-2)+4/(sqrt5-3)`
`=(sqrt5-3)/((sqrt5-3)(sqrt-2))+(4(sqrt5-2))/((sqrt5-2)(sqrt5-3))`
`=(sqrt5-3+4sqrt5-2)/((sqrt5-2)(sqrt2+3))`
`=(3sqrt5-5)/((sqrt5-3)(sqrt5-2))`
`=(-sqrt5(sqrt5-3))/((sqrt5-3)(sqrt5-2)`
`=(-sqrt5)/(sqrt5-2)`
`=sqrt5/(2-sqrt5`
Hãy giúp mọi người biết câu trả lời này thế nào?

Bảng tin
17
373
7
Cảm onn c nhiuu
5109
89410
2693
c cs thể hỏi lần `2` câu đc ko ạ