

Help meeeeeeeeeeeeeeee
Hãy luôn nhớ cảm ơn và vote 5*
nếu câu trả lời hữu ích nhé!
`n, (0,6-x)/(-2)=(-0,5)/(0,6-x)`
`(0,6-x)^2=(-2) . (-0,5)`
`(0,6-x)^2=1`
`0,6-x=1` hoặc `0,6-x=-1`
`x=-0,4` hoặc `x=1,6`
Vậy `x=-0,4` hoặc `x=1,6`
`o, (2-x)/(-25)=5/(-(2-x)^2)`
`-(2-x)^3 = 5 . (-25)`
`-(2-x)^3=-125`
`(2-x)^3=125`
`(2-x)^3=5^3`
`2-x=5`
`x=-3`
Vậy `x=-3`
Hãy giúp mọi người biết câu trả lời này thế nào?
![]()
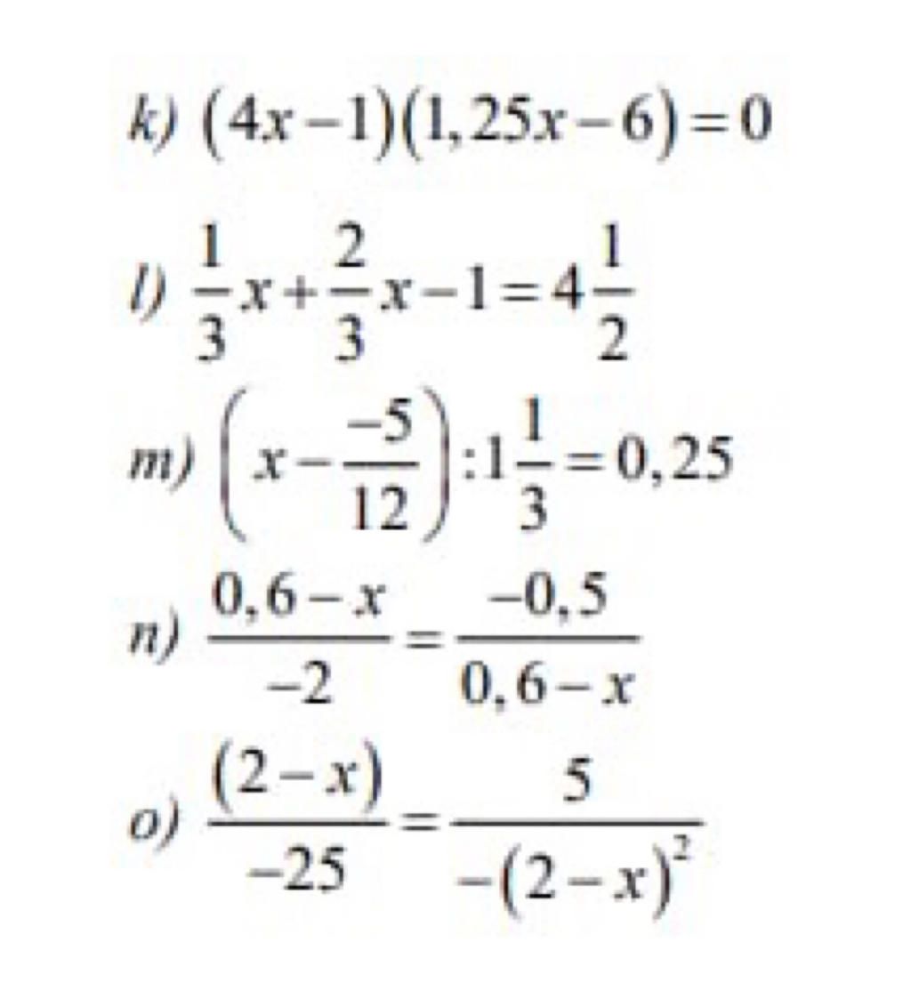
k,giải:
suy ra:4x-1=0 hoặc 1.25x-6=0
4x-1=0
4x=0
x=1/4
1.25x-6=0
1.25x=6
x=6/1.25
x=6/5/4 =6 . 4/5
x=245=4.8
vậy x=1/4 hoặc x=4.8
l)giải:
đổi:4.1/2=9/2
khi đó:1/3x+2/3x-1=4.1/2
3/3x=x=9/2+1
x=9/2+2/2=11/2
vậy x=11/2 hoặc x=5.5
m)giải
đổi:1.1/3=4/3 và 0.25=1/4
(x+5/12):4/3=1/4
(x+5/12)=1/4.4/3
x+5/12=1/3
x=-1/12
vậy x=-1/12
n)giải thích:
ta có:(0.6-x)(0.6-x)=(-2)(-0.5)
(0.6-x)²=1
suy ra 0.6-x=1 hay 0.6-x=-1
0.6-x=1
x=0.6 -1
x=-0.4
0.6-x=-1
x=0.6+1
x=1.6
vậy x=-0.4 và x=1.6
o) giải:
nhân chéo,ta được:(2-x)(2-x)²=5.25
(2-x)³=125
(2-x)³=5³
lấy căn bậc ba của hai vế:
2-x=5
x=2-5
x=-3
vậy x=-3
mình nhắn mỏi tay lắm ạ :((
Hãy giúp mọi người biết câu trả lời này thế nào?
Bảng tin