

Hãy luôn nhớ cảm ơn và vote 5*
nếu câu trả lời hữu ích nhé!
Đáp án + Giải thích các bước giải:
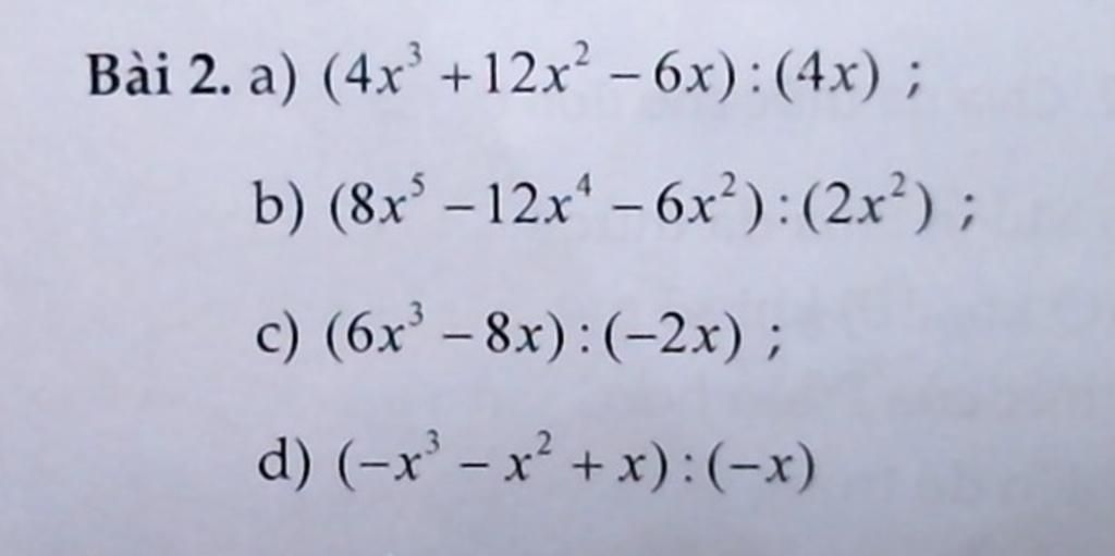
`a)` `(4x^3 + 12x^2 - 6x):(4x)`
`= (4x^3:4x) + (12x^2:4x) - (6x:4x)`
`= x^2 + 3x -3/2`
`b)` `(8x^5 - 12x^4 - 6x^2):(2x^2)`
`= (8x^5:2x^2) - (12x^4:2x^2) - (6x^2:2x^2)`
`= 4x^3 - 6x^2 - 3`
`c)` `(6x^3 - 8x):(-2x)`
` = [6x^3:(-2x)] + [(- 8x):(-2x)]`
`= -3x^2 + 4`
`d)` `(-x^3 - x^2 + x):(-x)`
` = [(-x^3) : (-x)] + [(- x^2) : (-x)] + [ x : (-x)`
`= x^2 + x -1`
Hãy giúp mọi người biết câu trả lời này thế nào?

Đáp án+Giải thích các bước giải:
`a)`
`(4x^3+12x^2-6x):(4x)`
`=(4x^3:4x)+(12x^2:4x)-(6x:4x)`
`=x^2+3x-1,5`
`b)`
`(8x^5-12x^4-6x^2):(2x^2)`
`=(8x^5:2x^2)-(12x^4:2x^2)-(6x^2:2x^2)`
`=4x^3-6x^2-3`
`c)`
`(6x^3-8x):(-2x)`
`=[6x^3:(-2x)]-[8x:(-2x)]`
`=-3x^2+4`
`d)`
`(-x^3-x^2+x):(-x)`
`=[(-x^3):(-x)]-[x^2:(-x)]+[x:(-x)]`
`=x^2+x-1`
Hãy giúp mọi người biết câu trả lời này thế nào?

Bảng tin

242
825
204
cx cảm ơn a/c lạnh lùng băng giá ồn ào nhaa ùm moa^^:///
242
825
204
ma cha la tê ma cha la tê quái vật ma cha la tê trỗi dậy ăn thịt cả thành phố măm tom măm tom aaaaa măm tom của ta đau ram ram ram bánh mì ram ram
172
3382
66
gì vậy =D
242
825
204
u u u e cam on hochochoc họccaibimpo ma cha la tê e cho câu trl hay nhat u u u u ma cha la tê