

Hãy luôn nhớ cảm ơn và vote 5*
nếu câu trả lời hữu ích nhé!
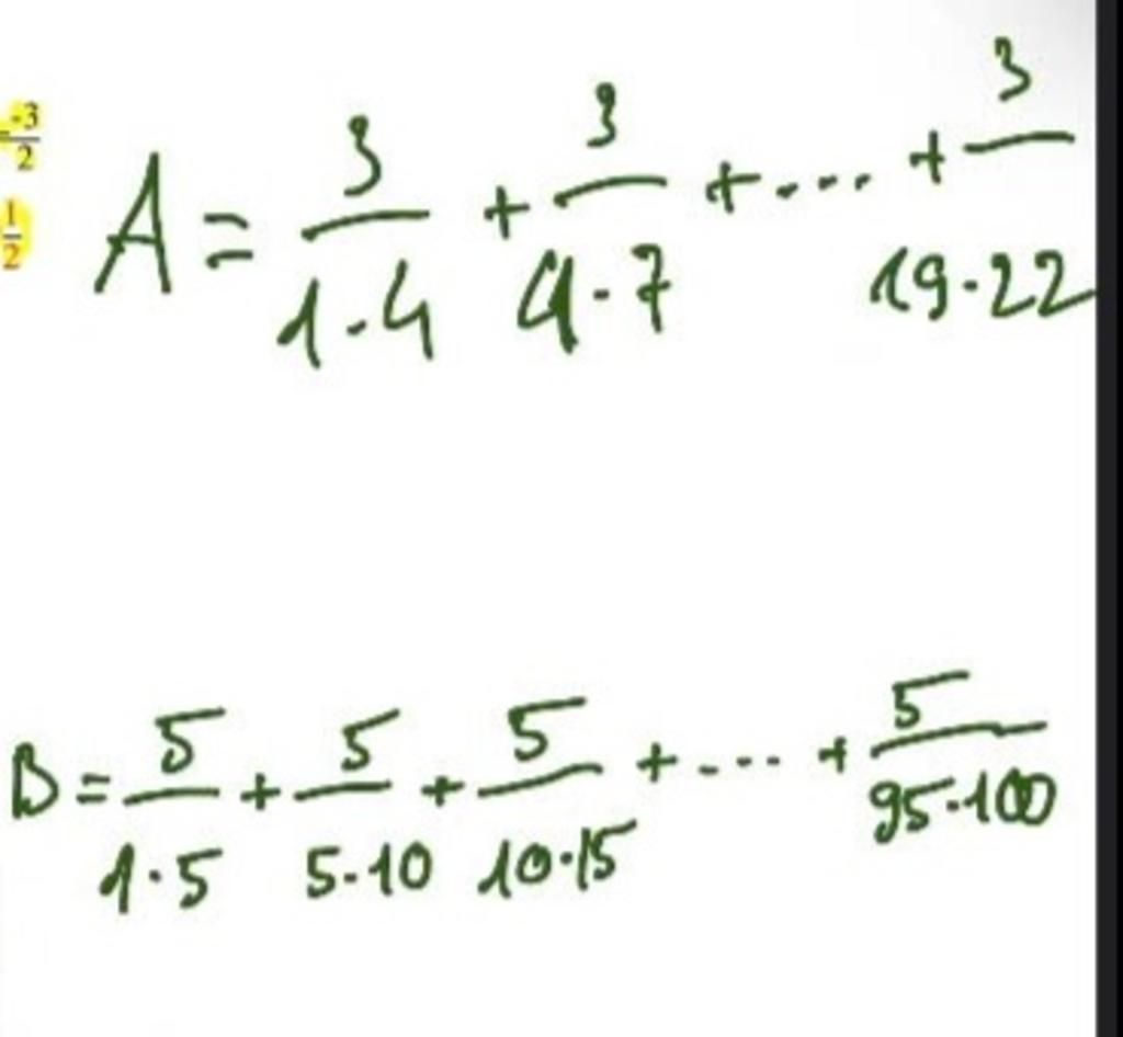
`A=3/1.4+3/4.7+...+3/19.22`
`A=1/1-1/4+1/4-1/7+...+1/19-1/22`
`A=1-1/22`
`A=21/22`
``
`B=5/1.5+5/5.10+5/10.15+...+5/95.100`
`4/5B=4/1.5+4/5.10+4/10.15+...+4/95.100`
`4/5B=1/1-1/5+1/5-1/10+1/10-1/15+...+1/95-1/100`
`4/5B=1-1/100`
`4/5B=99/100`
`B=99/100:4/5`
`B=99/80`
Hãy giúp mọi người biết câu trả lời này thế nào?

Đáp án:
Giải thích các bước giải:
A= 4-1/1.4 + 7-4/4.7 + ........+ 22-19/19.22
A= 1- 1/4+ 1/4 -1/7 +....... + 1/19 -1/22
A=1- 1/22
A=21/22
B= 5/1.5 +( 5/5.10 + 5/10.15 +.......+ 5/95.100)
B= 5/1.5+ (10-5/5.10 + 15-10/10.15 +........+ 100-95/95.100)
B= 5/1.5 + ( 1/5- 1/10+ 1/10- 1/15+ ..........+ 1/95- 1/100)
B= 5/1.5 + ( 1/5 - 1/100)
B= 5/1.5 + 19/100
B= 5/5 + 19/100
B= 1+ 19/100
B= 119/100
Hãy giúp mọi người biết câu trả lời này thế nào?

Bảng tin