

Giải ph trình ạ mọi ng giúp em với nhé
Hãy luôn nhớ cảm ơn và vote 5*
nếu câu trả lời hữu ích nhé!
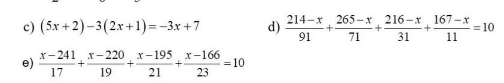
c) `(5x+2) - 3(2x+1) = -3x + 7`
`5x + 2 - 6x - 3 = -3x + 7`
`-x - 1 = -3x + 7`
`2x = 8`
`x=4`
Vậy `x=4`
d) $\frac{214-x}{91}$ `+` $\frac{265-x}{71}$ `+` $\frac{216-x}{31}$ `+` $\frac{167-x}{11}$ `=10`
$\frac{214-x}{91}$ `-1 +` $\frac{265-x}{71}$ `-2 +` $\frac{216-x}{31}$ `-3 +` $\frac{167-x}{11}$ `4 = 0`
$\frac{123-x}{91}$ `+` $\frac{123-x}{71}$ `+` $\frac{123-x}{31}$ `+` $\frac{123-x}{11}$ `= 0`
`(123-x)(1/91 + 1/71 + 1/31 + 1/11) = 0`
Vì `(1/91 + 1/71 + 1/31 + 1/11)` $\neq$ `0`
`->` `123 - x = 0`
`x = 123`
Vậy `x=123`
e) $\frac{x-241}{17}$ `+` $\frac{x-220}{19}$ `+` $\frac{x-195}{21}$ `+` $\frac{x-166}{23}$ `=10`
$\frac{x-241}{17}$ `-1 +` $\frac{x-220}{19}$ `-2 +` $\frac{x-195}{21}$ `-3 +` $\frac{x-166}{23}$ `4 = 0`
$\frac{x-258}{17}$ `+` $\frac{x-258}{19}$ `+` $\frac{x-258}{21}$ `+` $\frac{x-258}{23}$ `=0`
`(x-258)(1/17 + 1/19 + 1/21 + 1/23) = 0`
Vì `(1/17 + 1/19 + 1/21 + 1/23) ` $\neq$ `0` nên
`x-258 = 0`
`x = 258`
Vậy `x=258`
Hãy giúp mọi người biết câu trả lời này thế nào?
Bảng tin
265
35
592
mai lm típ dc hong