

Hãy luôn nhớ cảm ơn và vote 5*
nếu câu trả lời hữu ích nhé!
`@` `color[#480209][d]``color[#81020E][t]``color[#A80111][t]`
Đáp án:
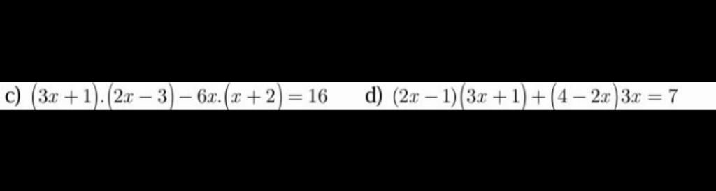
c) `(3x+1)(2x-3)-6x(x+2)=16`
`6x^2-9x+2x-3-6x^2-12x=16`
`(6x^2-6x^2)-(9x-2x+12x)=16+3`
`-19x=19`
`x=-1`
Vậy `x=-1`
d) `(2x-1)(3x+1)+(4-2x)3x=7`
`6x^2+2x-3x-1+12x-6x^2=7`
`(6x^2-6x^2)+(2x-3x+12x)=7+1`
`11x=8`
`x=8/11`
Vậy `x=8/11`
Hãy giúp mọi người biết câu trả lời này thế nào?
<3
c) `(3x+1)(2x-3)-6x(x+2)=16`
`6x^2-9x+2x-3-6x^2 -12x=16`
`(6x^2 -6x^2) +(-9x+2x-12x)-3=16`
`-19x=16+3`
`-19x=19`
`x=19:(-19)`
`x=-1`
Vậy `x=-1`
d) `(2x-1)(x+1)+(4-2x)3x=7`
`6x^2+2x-3x-1+12x-6x^2 =7`
`(6x^2 -6x^2)+(2x-3x+12x)-1=7`
`11x=7+1`
`11x=8`
`x=8:11`
`x=8/11`
Vậy `x=8/11`
Hãy giúp mọi người biết câu trả lời này thế nào?
Bảng tin
