

Hãy luôn nhớ cảm ơn và vote 5*
nếu câu trả lời hữu ích nhé!
Đáp án`+`Giải thích các bước giải:
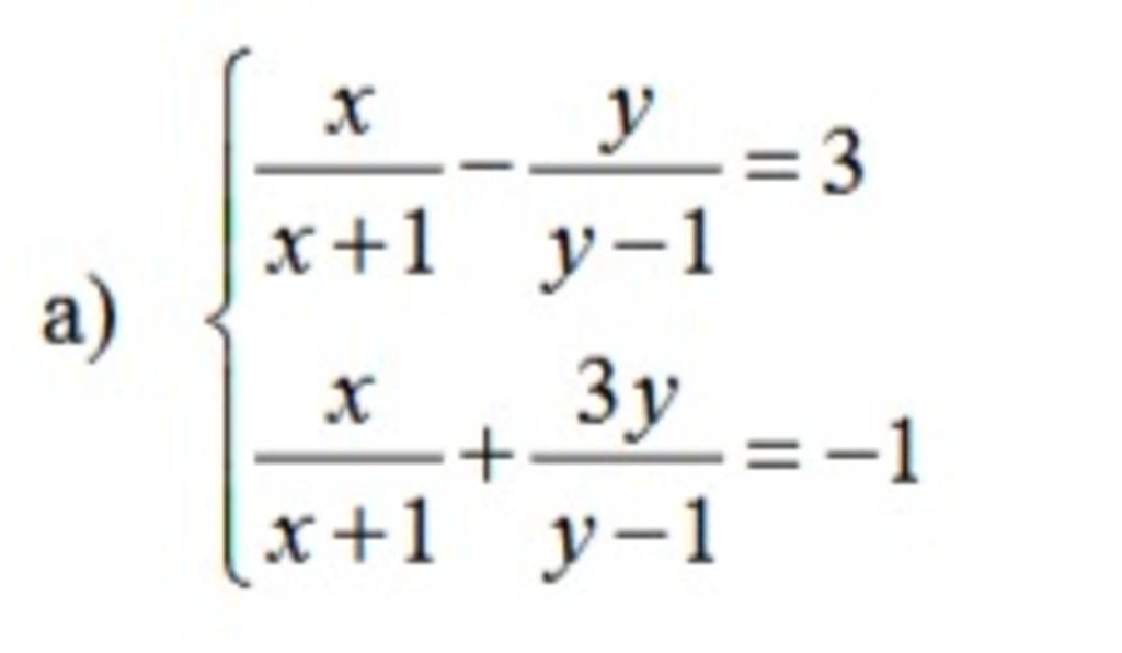
Đk: `x ne -1; y ne 1`
Đặt `x/(x+1) = a`
`y/(y-1) = b`
Khi đó hệ phương trình trở thành:
`{(a - b = 3),(a + 3b = -1):}`
`=> {( - 4b = 4),(a + 3b = -1):}`
`=> {( b = -1),(a + 3*(-1) = -1):}`
`=> {( b = -1),(a = 2):}`
`=> {(y/(y - 1) = -1),(x/(x+ 1) = 2):}`
`=> {(y = -y + 1),(2x + 2 = x):}`
`=> {(2y = 1),(x = -2):}`
`=> {(y= 1/2),(x = -2):}`
Vậy hệ phương trình có nghiệm `(x;y) = (-2;1/2)`
Hãy giúp mọi người biết câu trả lời này thế nào?
Bảng tin
6212
86535
2923
xem lại điều kiẹn
938
1362
1094
ò thank
0
107
0
sao lại là -4b=4 vậy ạ
938
1362
1094
`a-a =0` `-b -3b=-4b` `3-(-1)= 4`
938
1362
1094
lấy vế trên trừ vế dưới bn