

Cứu vs helpppppppppp
Hãy luôn nhớ cảm ơn và vote 5*
nếu câu trả lời hữu ích nhé!
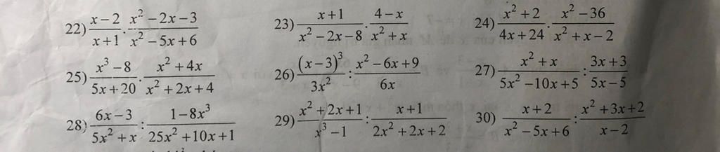
`22)(x-2)/(x+1) .(x^2-2x-3)/(x^2-5x+6)(xne-1;xne2;xne3)`
`=(x-2)/(x+1) .(x^2-3x+x-3)/(x^2-2x-3x+6)`
`=(x-2)/(x+1) .((x-3)(x+1))/((x-2)(x-3))`
`=1`
`23)(x+1)/(x^2-2x-8) .(4-x)/(x^2+x)(xne0;xne-1;xne-2;xne4)`
`=(x+1)/(x^2-4x+2x-8) .(4-x)/(x(x+1))`
`=1/((x+2)(x-4)) .(-(x-4))/x`
`=-1/(x(x+2))`
`=-1/(x^2+2x)`
`24)(x^2+2)/(4x+24) .(x^2-36)/(x^2+x-2)`
`=(x^2+2)/(4(x+6)) .((x-6)(X+6))/(x^2+2x-x-2)`
`=(x^2+2)/4 . (x-6)/((x+2)(x-1))`
`=((x^2+2)(x-6))/(4(x+2)(x-1))`
`25)(x^3-8)/(5x+20).(x^2+4x)/(x^2+2x+4)`
`=((x-2)(x^2+2x+4))/(5(x+4)).(x(x+4))/(x^2+2x+4)`
`=(x(x-2))/5`
`26)(x-3)^3/(3x^2) :(x^2-6x-9)/(6x)`
`=(x-3)^3/(3x^2) .(6x)/(x-3)^2`
`=(x-3)/x . 2`
`=(2x-6)/x`
`27)(x^2+x)/(5x^2-10x+5) :(3x+3)/(5x-5)`
`=(x(x+1))/(5(x-1)^2) . (5(x-1))/(3(x+1))`
`=x/(x-1) .1/3`
`=x/(3x-3)`
`28)(6x-3)/(5x^2+x) :(1-8x^3)/(25x^2+10x+1)`
`=(3(2x-1))/(x(5x+1)) . (5x+1)^2/(-(2x-1)(4x^2+2x+1))`
`=3/x . (5x+1)/(-(4x^2+2x+1))`
`=-(15x+3)/(4x^3+2x^2+x)`
`29)(x^2+2x+1)/(x^3-1) :(x+1)/(2x^2+2x+2)`
`=(x+1)^2/((x-1)(x^2+x+1)) . (2(x^2+x+1))/(x+1)`
`=(x+1)/(x-1) .2`
`=(2x+2)/(x-1)`
`30)(x+2)/(x^2-5x+6) :(x^2+3x+2)/(x-2)`
`=(x+2)/(x^2-2x-3x+6) .(x-2)/(x^2+2x+x+2)`
`=(x+2)/((x-2)(x-3)).(x-2)/((x+2)(x+1))`
`=1/(x-3) .1/(x+1)`
`=1/(x^2-2x-3)`
Hãy giúp mọi người biết câu trả lời này thế nào?
![]()
Bảng tin