PH/HS Tham Gia Nhóm Lớp 10 Để Trao Đổi Tài Liệu, Học Tập Miễn Phí!
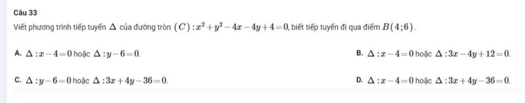
Câu 33
Viết phương trình tiếp tuyến A của đường tròn (C) : 2 +y” — 42 – 4y+4=0, biết tiếp tuyến đi qua điểm B(4;6).
A. A:2–4=0 hoặc A :g6=0.
C. A:g–6=0 hoặc A:32+4y-36=0.
B. A:2–4=0 hoặc A :3—4+12=0.
D. A:2–4–0 hoặc A:32+4–36=0.