

Hãy luôn nhớ cảm ơn và vote 5*
nếu câu trả lời hữu ích nhé!
`A=x/(x+2)+(x+1)/x (x\ne 0; x\ne -2)`
`=(x^2)/(x(x+2))+((x+1)(x+2))/(x(x+2))`
`=(x^2+x^2+2x+x+2)/(x(x+2))`
`=(2x^2+3x+2)/(x(x+2))`
`b)` Thay `x=1` vào `A` ta có:
`A=(2. 1^2+3. 1+2)/(1.(1+2))`
`=(2. 1+3+2)/3`
`=7/3`
Vậy giá trị của `A` là `7/3` tại `x=1`
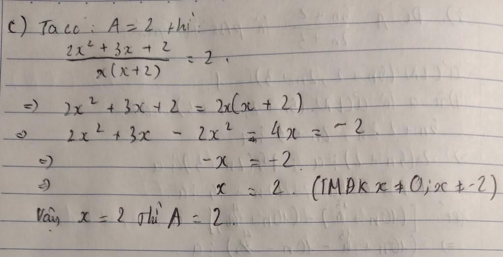
`c)` Để `A=2` `=> (2x^2+3x+2)/(x(x+2))=2`
`=> 2x^2+3x+2=2x(x+2)`
`=>2x^2+3x+2=2x^2+4x`
`=>2x^2+3x+2-2x^2-4x=0`
`=>-x=-2`
`=>x=2 (tm)`
Vậy để `A=2` thì `x=2`
Hãy giúp mọi người biết câu trả lời này thế nào?
![]()
`\color[#483d8b]{#``\color[#6A5ACd]{B``\color[#9370db]{m`
Hãy giúp mọi người biết câu trả lời này thế nào?
Bảng tin
1473
6833
1693
Xem lại ạ^^
1473
6833
1693
`x+2≠0` `=>``x≠-2` chứ ạ
381
86
218
dạ xl nhầm ạ .-.