

giúp e với ạ em cảm ơn
Hãy luôn nhớ cảm ơn và vote 5*
nếu câu trả lời hữu ích nhé!
Đáp án`+`Giải thích các bước giải:
`***Hacker02`
`2)`
`a)`
`x/2=y/3`
`->(4x)/8=(3y)/9`
Áp dụng tính chất dãy tỉ số bằng nhau ta có:
`(4x)/8=(3y)/9=(4x-3y)/(8-9)=-2/-1=2`
Suy ra:
`(4x)/8=2 -> x=4`
`(3y)/9=2->y=6`
`b)`
`2x=5y`
`->(2x)/10=(5y)/10`
`->x/5=y/2`
Áp dụng tính chất dãy tỉ số bằng nhau ta có:
`x/5=y/2=(x+y)/(5+2)=-42/7=-6`
Suy ra:
`x/5=-6->x=30`
`y/2=-6->y=-12`
Hãy giúp mọi người biết câu trả lời này thế nào?
1
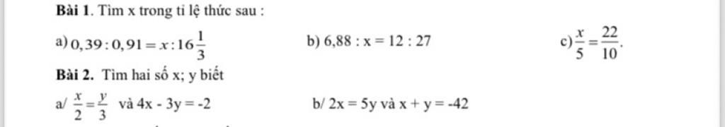
a) `0,39 : 0,91 = x : 16 1/3`
` 3/7 = x : 49/3`
` x = 49/3 × 3/7`
`x = 7`
b) `6,88 : 2x = 12 : 27`
` 6,88 : 2x = 4/9`
` 2x = 6,88 : 4/9`
` 2x = 15,48`
`x = 15,48 : 2 = 7,74`
2
a) `x/2 = y/3` suy ra
`(4x)/8 = (3y)/9 = (4x-3y)/(8-9) = (-2)/(-1) =2`
$\text{x= 2 × 2 = 4 , y = 2 × 3 = 6}$
b) `2x = 5y` suy ra
`x/5 = y/2 = (x+y)/(5+2) = (-42)/7=-6`
$\text{x = -6 × 5 = -30, y = -6 × 2 = -12}$
Hãy giúp mọi người biết câu trả lời này thế nào?
Bảng tin