

GIÚP MÌNH VƠI MAI THI RÒI
Hãy luôn nhớ cảm ơn và vote 5*
nếu câu trả lời hữu ích nhé!
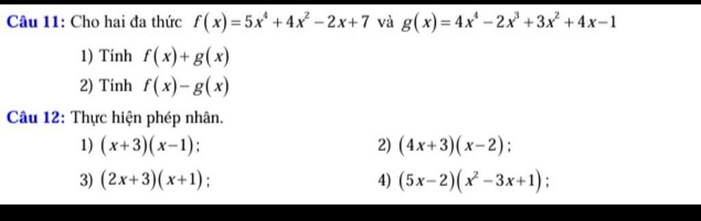
Câu `11:`
`1)` `f(x)+g(x)=5x^4+4x^2-2x+7+4x^4-2x^3+3x^2+4x-1`
`=(5x^4+4x^4)-2x^3+(4x^2+3x^2)+(-2x+4x)+(7-1)`
`=9x^4-2x^3+7x^2+2x+6`
`2)` `f(x)-g(x)=5x^4+4x^2-2x+7-(4x^4-2x^3+3x^2+4x-1)`
`=5x^4+4x^2-2x+7-4x^4+2x^3-3x^2-4x+1`
`=(5x^4-4x^4)+2x^3+(4x^2-3x^2)+(-2x-4x)+(7+1)`
`=x^4+2x^3+x^2-6x+8`
Câu `12:`
`1)` `(x+3)(x-1)`
`=x^2-x+3x-3`
`=x^2+(-x+3x)-3`
`=x^2+2x-3`
`2)` `(4x+3)(x-2)`
`=4x^2-8x+3x-6`
`=4x^2+(-8x+3x)-6`
`=4x^2-5x+6`
`3)` `(2x+3)(x+1)`
`=2x^2+2x+3x+3`
`=2x^2+(2x+3x)+3`
`=2x^2+5x+3`
`4)` `(5x-2)(x^2-3x+1)`
`=5x^3-15x^2+5x-2x^2+6x-2`
`=5x^3+(-15x^2-2x^2)+(5x+6x)-2`
`=5x^3-17x^2+11x-2`
Hãy giúp mọi người biết câu trả lời này thế nào?
![]()
Câu `11:`
`1, f(x)+g(x)`
`=5x^4 +4x^2 -2x+7+4x^4 -2x^3 +3x^2+4x-1`
`=9x^4 + 7x^2+2x+6-2x^3`
`2, f(x)-g(x)`
`=5x^4 +4x^2-2x+7-(4x^4-2x^3+3x^2+4x-1)`
`=5x^4 + 4x^2-2x+7-4x^4 +2x^3 -3x^2-4x+1`
`=x^4 +x^2 -6x+8+2x^3`
Câu `12:`
`1, (x+3)(x-1)=x^2-x+3x-3=x^2+2x-3`
`2, (4x+3)(x-2)=4x^2-8x+3x-6=4x^2-5x-6`
`3,(2x+3)(x+1)=2x^2+2x+3x+3=2x^2+5x+3`
`4, (5x-2)(x^2-3x+1)=5x^3 - 15x^2+5x-2x^2+6x-2=5x^3 -17x^2+11x-2`
Hãy giúp mọi người biết câu trả lời này thế nào?
![]()
Bảng tin
1721
137
645
happy `100` tim