

Hãy luôn nhớ cảm ơn và vote 5*
nếu câu trả lời hữu ích nhé!
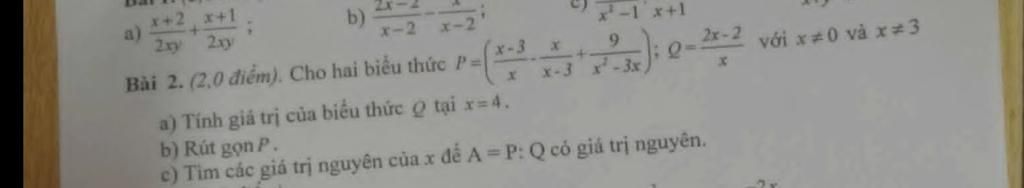
`a)` Thay `x=4` vào biểu thức `Q`,ta có:
`Q=\frac{2.4-2}{4}=\frac{6}{4}=\frac{3}{2}`
`b)P=\frac{x-3}{x}-\frac{x}{x-3}+\frac{9}{x^2-3x}`
`=\frac{(x-3)(x-3)}{x(x-3)}-\frac{x.x}{x(x-3)}+\frac{9}{x(x-3)}`
`=\frac{x^2-3x-3x+9-x^2+9}{x(x-3)}`
`=\frac{-6x+18}{x(x-3)}`
`=\frac{-6(x-3)}{x(x-3)}`
`=\frac{-6}{x}`
`c)`
Theo đề bài ta có:
`A=P:Q`
Hay `A=\frac{-6}{x}:\frac{2x-2}{x}`
`=>A=\frac{-6}{x}.\frac{x}{2(x-1)}`
`=>A=\frac{-3}{x-1}`
`=>A=\frac{3}{1-x}`
Để `A` nguyên thì
`1-x in Ư(3)`
`=>1-x in {+-1;+-3}`
Giải phương trình,ta có:
`1-x=1=>x=0` (loại)
`1-x=-1=>x=2` (chọn)
`1-x=3=>-2` (chọn)
`1-x=-3=>4` (chọn)
Vậy `x in {+-2;4}` thì `A` nguyên
Hãy giúp mọi người biết câu trả lời này thế nào?

Đáp án:+Giải thích các bước giải:
`a)`
`x=4`
`=>Q=(4-2)/4=2/4=1/2`
`b)`
`P=(x-3)/x-x/(x-3)+9/(x^2-3x)` `(x\ne0;x\ne3)`
`P=(x^2-6x+9-x^2+9)/(x(x-3))`
`P=(-6x+18)/(x(x-3))`
`P=(-6(x-3))/(x(x-3))`
`P=-6/x`
`c)`
`A=P:Q`
`A=-6/x:(2x-2)/x`
`A=-6/x xx x/(2(x-1))`
`A=-3/(x-1)`
`A=3/(1-x)`
Để `A` nguyên thì
`1-x\in{1;-1;3;-3}`
`=>x\in{0;2;-2;4}(tm)`
Hãy giúp mọi người biết câu trả lời này thế nào?

Bảng tin