Tham Gia Group Dành Cho Lớp 11 Chia Sẻ, Trao Đổi Tài Liệu Miễn Phí
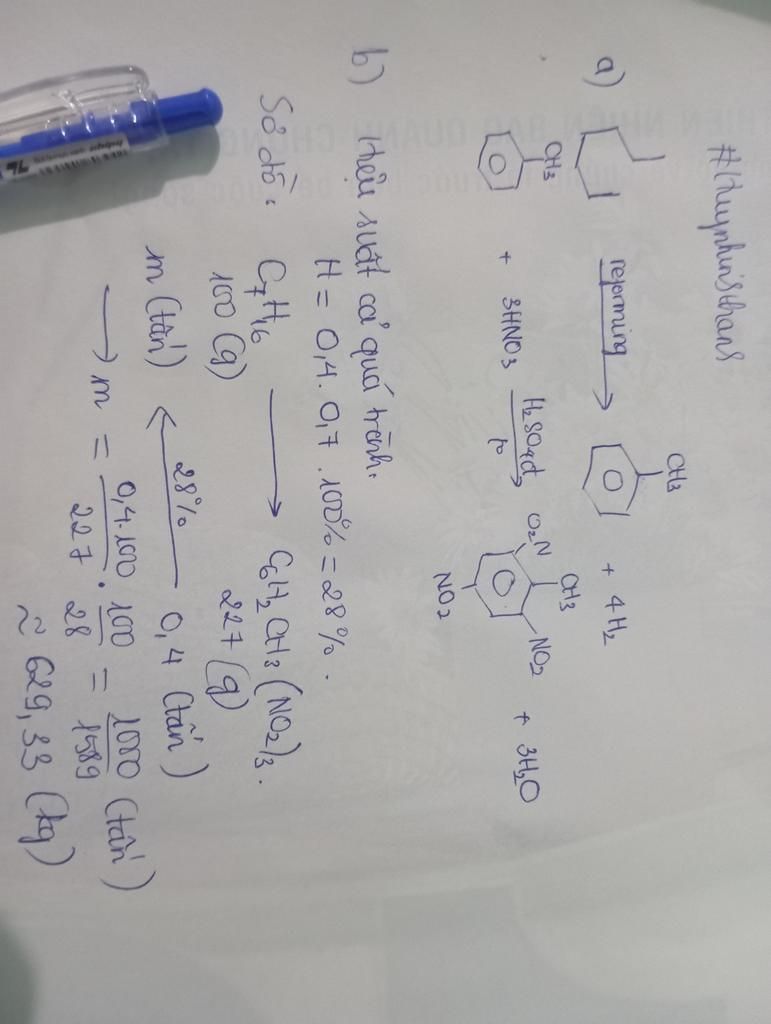
Người ta điều chế 2,4,6-trinitrotoluene qua sơ đồ sau:
t°,p
Heptane- >Toluene
40%
a. Viết phương trình hoá học cho từng giai đoạn phản ứng.
+ HNO3/H₂SO®ÆE
70%
TNT
b. Để điều chế được 0,4 tấn sản phẩm 2,4,6-trinitrotoluene dùng làm thuốc nổ TNT cần dùng khối lượng
heptane bằng bao nhiêu ...