

Hãy luôn nhớ cảm ơn và vote 5*
nếu câu trả lời hữu ích nhé!
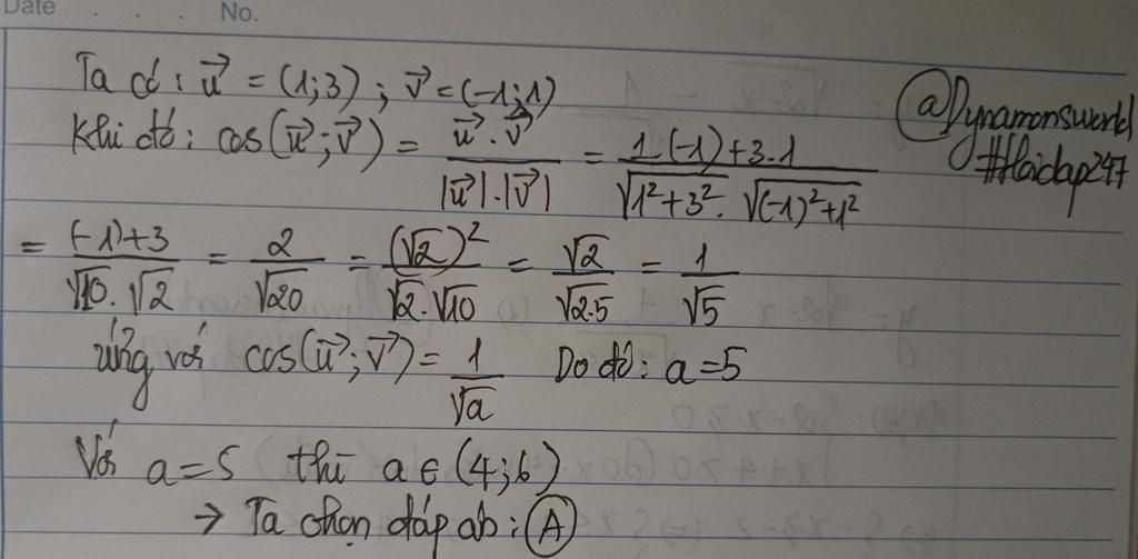
Đáp án:
Ta có: `{(vec(u) = (1; 3)),(vec(v) = (-1; 1)):}`
`=> cos(vec(u), vec(v)) = (vec(u).vec(v))/(|vec(u)|.|vec(v)|)`
`=> vec(u).vec(v) = 1*(-1) + 3*1 = -1 + 3 = 2`
`=> |vec(u)| = sqrt(1^2 + 3^2) = sqrt(1 + 9) = sqrt(10)`
`=> |vec(v)| = sqrt((-1)^2 + 1^2) = sqrt(1 + 1) = sqrt(2)`
`=> cos(vec(u), vec(v)) = 2/(sqrt(10)*sqrt(2)) = 2/sqrt(20) = 1/sqrt(5)`
`=> cos(vec(u), vec(v)) = 1/sqrt(a)`
`=> 1/sqrt(5) = 1/sqrt(a)`
`=> sqrt(a) = sqrt(5)`
`=> a = 5`
`=> a in (4; 6)`
`->` Chọn `bbA`
Hãy giúp mọi người biết câu trả lời này thế nào?

Bảng tin