

Tìm tất cả giá trị của x để A/B lớn hơn hoặc bằng (x/4) +5
Hãy luôn nhớ cảm ơn và vote 5*
nếu câu trả lời hữu ích nhé!
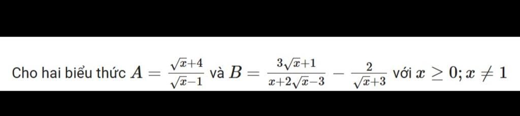
MTC: `x + 2\sqrt{x} - 3 = (\sqrt{x} + 3)(\sqrt{x} - 1)`
`B = \frac{3\sqrt{x} + 1}{(\sqrt{x} + 3)(\sqrt{x} - 1)} - \frac{2(\sqrt{x} - 1)}{(\sqrt{x} + 3)(\sqrt{x} - 1)}`
`B = \frac{3\sqrt{x} + 1 - 2\sqrt{x} + 2}{(\sqrt{x} + 3)(\sqrt{x} - 1)} = \frac{\sqrt{x} + 3}{(\sqrt{x} + 3)(\sqrt{x} - 1)}`
`-> B = \frac{1}{\sqrt{x} - 1}`
`\frac{A}{B} = \frac{\sqrt{x} + 4}{\sqrt{x} - 1} : \frac{1}{\sqrt{x} - 1} = \sqrt{x} + 4`
`\sqrt{x} + 4 \ge \frac{x}{4} + 5`
`4\sqrt{x} + 16 \ge x + 20 -> x - 4\sqrt{x} + 4 \le 0`
`(\sqrt{x} - 2)^2 \le 0`
Vì bình phương của một số thực luôn không âm nên bất phương trình chỉ đúng khi: `(\sqrt{x} - 2)^2 = 0`
`\sqrt{x} - 2 = 0->\sqrt{x} = 2->x = 4`
Vậy: ...
Hãy giúp mọi người biết câu trả lời này thế nào?
`B = (3sqrtx + 1)/(x + 2sqrtx - 3) - 2/(sqrtx + 3)`
` = (3sqrtx + 1)/(x + 3sqrtx - sqrtx - 3) - (2(sqrtx - 1))/((sqrtx + 3)(sqrtx - 1))`
` = (3sqrtx + 1)/((sqrtx + 3)(sqrtx - 1)) - (2sqrtx -2 )/((sqrtx + 3)(sqrtx - 1))`
` = (3sqrtx +1 - 2sqrtx + 2)/((sqrtx + 3)(sqrtx - 1))`
` = (sqrx + 3)/((sqrtx + 3)(sqrtx - 1))`
`= 1/(sqrtx - 1)`
`=> A/B = (sqrtx + 4)/(sqrtx - 1) : 1/(sqrtx - 1)`
` = (sqrtx + 4)/(sqrtx - 1) . (sqrtx-1)`
` = sqrtx + 4`
Để `A/B >= x/4 + 5` thì:
`sqrtx + 4 >=x/4 + 5`
`x/4 - sqrtx + 1 <=0`
`(sqrtx/2 - 1)^2 <=0`
Mà `(sqrtx/2 -1)^2 >=0 AA x>=0; x\ne1`
`=> sqrtx/2 - 1=0`
`sqrtx/2 = 1`
`sqrtx = 2`
`x = 4` (thỏa mãn)
Vậy `x = 4`
Hãy giúp mọi người biết câu trả lời này thế nào?
Bảng tin