

Hãy luôn nhớ cảm ơn và vote 5*
nếu câu trả lời hữu ích nhé!
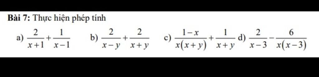
Bài `7:`
`a)`
`2/(x+1)+1/(x-1)(ĐKXĐ:x\ne+-1)`
`=(2(x-1))/((x-1)(x+1))+(x+1)/((x+1)(x-1))`
`=((2x-2+x+1))/((x-1)(x+1))`
`=(3x-1)/((x-1)(x+1))`
`b)`
`2/(x-y)+2/(x+y)(ĐKXĐ:x\ney;x\ne-y)`
`=(2(x+y))/((x-y)(x+y))+(2(x-y))/((x+y)(x-y))`
`=(2x-2y+2x-2y)/((x-y)(x+y))`
`=(4x-4y)/((x-y)(x+y))`
`=(4(x-y))/((x-y)(x+y))`
`=4/(x+y)`
`c)`
`(1-x)/(x(x+y))-1/(x+y)(ĐKXĐ:x\ne0;x\ney;x\ne-y)`
`=(1-x)/(x(x+y))+x/(x(x+y))`
`=(1-x+x)/(x(x+y)`
`=1/(x(x+y))`
`d)`
`2/(x-3)-6/(x(x-3))(ĐKXĐ:x\ne0;x\ne3)`
`=(2x)/(x(x-3))-6/(x(x-3))`
`=(2x-6)/(x(x-3))`
`=(2(x-3))/(x(x-3))`
`=2/x`
Hãy giúp mọi người biết câu trả lời này thế nào?

Đáp án:
Giải thích các bước giải:
` a) `
` 2/( x + 1 ) + 1/( x - 1 ) ` ` ( x ne +- 1 ) `
` = ( 2( x - 1 ) )/( ( x + 1 )( x - 1 ) ) + ( x + 1 )/( ( x + 1 )( x - 1 )) `
`= ( 2x - 2 + x + 1 )/( ( x + 1 )( x - 1 )) `
`= ( 3x - 1 )/( ( x + 1 )( x - 1 ) ) `
` b) `
` 2/( x - y ) + 2/( x + y ) ` ` ( x ne +- y ) `
` = ( 2( x + y ) )/( ( x + y )( x - y ) ) + ( 2( x - y ) )/( ( x + y )( x - y ) ) `
`= ( 2x + 2y + 2x - 2y )/( ( x + y )( x - y ) )`
` = ( 4x )/( ( x + y )( x - y ) ) `
` c) `
` ( 1- x )/( x( x + y ) ) + 1/( x + y ) ` `( x ne 0 ; x ne -y ) `
` = ( 1 - x )/( x( x + y ) ) + x/( x( x + y ) ) `
` = ( 1 - x + x )/( x( x + y ) )`
` = 1/( x( x + y ) ) `
` d) `
` 2/( x - 3 ) - 6/( x( x - 3 ) ) ` ` ( x ne 0 ; x ne 3 ) `
` = ( 2x )/( x( x - 3 ) ) - 6/( x( x - 3 ) ) `
` = ( 2x - 6 )/( x( x - 3 ) ) `
` = ( 2( x - 3 ) )/( x( x - 3 ) ) `
` = 2/x `
` @ Ngân `
Hãy giúp mọi người biết câu trả lời này thế nào?

Bảng tin
827
1300
383
`b)2/(x-y)+2/(x+y)` `=(2(x+y))/((x-y)(x+y))+(2(x-y))/((x-y)(x+y))` `=(2x+2y+2x-2y)/((x+y)(x-y))` `=(4x)/((x+y)(x-y))`