

Hãy luôn nhớ cảm ơn và vote 5*
nếu câu trả lời hữu ích nhé!
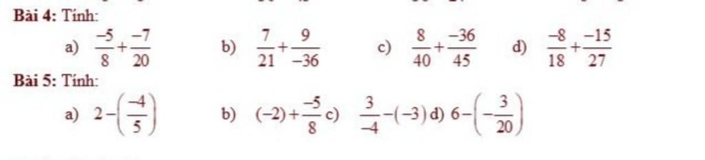
Bài `4` `:`
`a,` `-5/8` `+` `-7/20` `=` `-100/160` `+` `-56/160` `=` `-156/160` `=` `-39/40`
`b,` `7/21` `+` `9/-36` `=` `1/3` `+` `-1/4` `=` `4/12` `+` `-3/12` `=` `1/12`
`c,` `8/40` `+` `-36/45` `=` `1/5` `+` `-4/5` `=` `3/5`
`d,` `-8/18` `+` `-15/27` `=` `-4/9` `+` `-5/9` `=` `-9/9` `=` `-1`
Bài `5` `:`
`a,` `2` `-` `-4/5` `=` `2` `+` `4/5` `=` `2/1` `+` `4/5` `=` `10/5` `+` `4/5` `=` `14/5`
`b,` `-2` `+` `-5/8` `=` `-2/1` `+` `-5/8` `=` `-16/8` `+` `-5/8` `=` `-21/8`
`c,` `-3/4` `-` `(-3)` `=` `-3/4` `+` `3` `=` `-3/4` `+` `3/1` `=` `-3/4` `+` `12/4` `=` `9/4`
`d,` `6` `-` `(-3/20)` `=` `6` `+` `3/20` `=` `6/1` `+` `3/20` `=` `120/20` `+` `3/20` `=` `123/20`
Hãy giúp mọi người biết câu trả lời này thế nào?
Đáp án:
a, -5/ 8 + -7 / 20
msc : 40
ta quy Đong : -5/8 =-5 x 5 /8 x 5 = -25 / 40
- 7/ 20 = -7 x 2 / 20 x 2 = -14 / 40
=> -25/40 + -14 /40 = -39 /40
vay - 5/8 + -7 / 20 = -39 / 40
b, 7/21 + 9/ - 36
msc ; 756
7/ 12 = 7 x 36 / 21 x 36 = 252 / 756
9 / -36 = 9 x 12 / -36 x 12 = 108 / - 756
=> 252 / 756 + 108 / - 756 =4/ 21
vay 7/ 21 + 9/ - 36 = 4/ 21
c, 8/ 40 + - 36 / 45
msc : 1800
8/ 40 = 8 x 45 / 40 x 45 = 360 / 1800
-36 / 45 = -36 x 40/ 45 / 40 = - 1440 / 1800
=> 360 / 1800 + - 1440 / 1800 = - 3/ 5
vay 8/ 40 + - 36 / 45 =-3/5
d, -8/18 + -15/27
msc : 486
-8/18 = -8 x 27 / 18 x 27 = - 216 / 486
- 15 / 27 = - 15 x 18 / 27 x 18 = - 270 / 486
=> -216 / 486 + - 270 / 486 = - 1
vay -8/18 + - 15 / 27 = - 1
bÀI 2 :
a, 2-(-4/5)
= 14/ 5
b, (-2) + -5/8
= -21/8
c, 3/-4 -(-3)
= 9/4
d, 6- (-3/20)
=123/20
Hãy giúp mọi người biết câu trả lời này thế nào?
Bảng tin
69
-180
27
sai kÌA
69
-180
27
-9/9 = 1 ?
69
-180
27
phẢI bang -1 mà