Tham Gia Group Dành Cho Lớp 9 - Ôn Thi Vào Lớp 10 Miễn Phí
wan puant
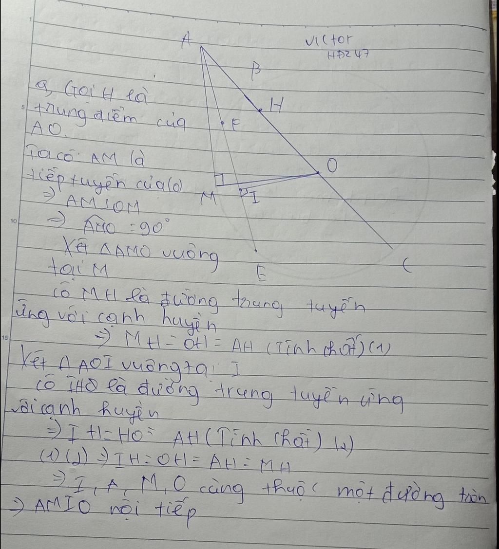
Câu 5, (3,0 điểm) Cho đường tròn tâm ( đường kính BC, trên tia đối của tia BC lấy điểm 4. Từ 4
kẻ tiếp tuyến AM. đến đường tròn (O)M là tiếp điểm). Trên cung nhỏ MC lấy điểm E bất kỳ, đường
Thằng 4E cắt đường tròn (O) tại điểm thứ hai là F(F không trùng E). Gọi I là chân đườn ...