Đăng nhập để hỏi chi tiết
Hãy luôn nhớ cảm ơn và vote 5*
nếu câu trả lời hữu ích nhé!
Đáp án+Giải thích các bước giải:
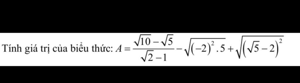
`A = (\sqrt{10} - \sqrt{5})/(\sqrt{2} - 1) - \sqrt{(- 2)^2 . 5} + \sqrt{(\sqrt{5} - 2)^2}`
`= (\sqrt{5}(\sqrt{2} - 1))/(\sqrt{2} - 1) - 2\sqrt{5} + |\sqrt{5} - 2|`
`= \sqrt{5} - 2\sqrt{5} + \sqrt{5} - 2`
`= - 2`
Hãy giúp mọi người biết câu trả lời này thế nào?
Bảng tin
219
918
58
7727350 giúp em được không anh