Đăng nhập để hỏi chi tiết


Hãy luôn nhớ cảm ơn và vote 5*
nếu câu trả lời hữu ích nhé!

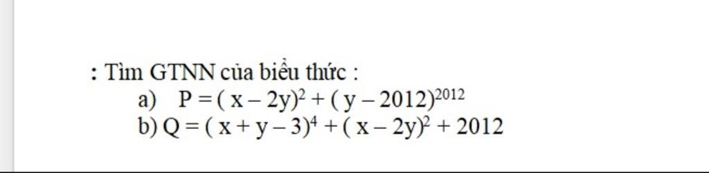
Giải thích các bước giải:
a.Ta có:
$P=(x-2y)^2+(x-2012)^{2012}\ge 0+0=0$
$\to GTNN=0\to x-2y=y-2012=0$
$\to y=2012, x=4024$
b.Ta có:
$Q=(x+y-3)^4+(x-2y)^2+2012\ge 0+0+2012=2012$
$\to GTNN_Q=2012$
Dấu = xảy ra khi $x+y-3=0, x-2y=0\to x=2, y=1$
Hãy giúp mọi người biết câu trả lời này thế nào?
Bảng tin