

Hãy luôn nhớ cảm ơn và vote 5*
nếu câu trả lời hữu ích nhé!

Giải thích các bước giải:
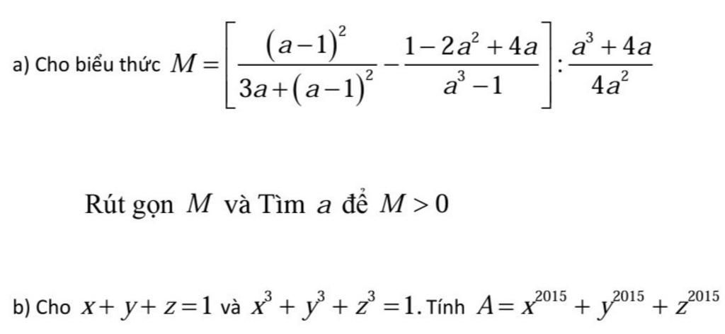
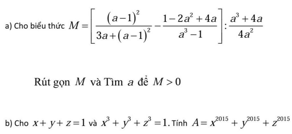
a.Ta có:
$M=(\dfrac{(a-1)^2}{3a+(a-1)^2}-\dfrac{1-2a^2+4a}{a^3-1}):\dfrac{a^3+4a}{4a^2}$
$\to M=(\dfrac{(a-1)^2}{a^2+a+1}+\dfrac{2a^2-4a-1}{(a-1)(a^2+a+1)}):\dfrac{a^2+4}{4a}$
$\to M=\dfrac{(a-1)^3+(2a^2-4a-1)}{(a-1)(a^2+a+1)}\cdot \dfrac{4a}{a^2+4}$
$\to M=\dfrac{ a^3-a^2-a-2}{(a-1)(a^2+a+1)}\cdot \dfrac{4a}{a^2+4}$
$\to M=\dfrac{\left(a-2\right)\left(a^2+a+1\right)}{(a-1)(a^2+a+1)}\cdot \dfrac{4a}{a^2+4}$
$\to M=\dfrac{a-2}{a-1}\cdot \dfrac{4a}{a^2+4}$
Để $M>0$
$\to \dfrac{a-2}{a-1}\cdot \dfrac{4a}{a^2+4}>0$
$\to \dfrac{a(a-2)}{a-1}>0$
$\to a>2$ hoặc $0<a<1$
b.Ta có:
$x^3+y^3+z^3=1$
$\to (x+y+z)^3-3(x+y)(y+z)(z+x)=1$
$\to 1^3-3(x+y)(y+z)(z+x)=1$
$\to 3(x+y)(y+z)(z+x)=0$
$\to x+y=0$ hoặc $y+z=0$ hoặc $z+x=0$
Giải $x+y=0\to x=-y\to z=1$
$\to x^{2015}=-y^{2015}$
$\to A=1$
Tương tự với $2$ trường hợp còn lại
Hãy giúp mọi người biết câu trả lời này thế nào?
![]()
Bảng tin