

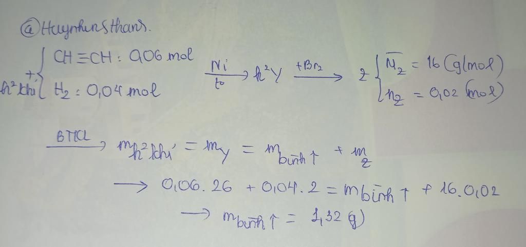
Đun nóng hỗn hợp khí gồm 0,06 mol C2H2 và 0,04 mol H2 với xúc tác Ni, sau một thời gian thu được hỗn hợp khí Y. Dẫn toàn bộ hỗn hợp Y lội từ từ qua bình đựng dung dịch bromine (dư) thì còn lại 0,4958 lít hỗn hợp khí Z (ở đkc) có tỉ khối so với O2 là 0,5. Khối lượng bình dung dịch brom tăng bao nhiêu gam?
Hãy luôn nhớ cảm ơn và vote 5*
nếu câu trả lời hữu ích nhé!
`n_Z={0,4958}{24,79}=0,02(mol)$
`M_Z=0,5.32=16(g//mol)`
định luật bảo toàn khối lượng:
`m_{C_2H_2}+m_{H_2}=m_{hhY}+m_{Z}`
`=>` `0,06.26+0,04.2=m_{bình tăng}+.0,02.32`
`<=>m_{bình tăng}=1,32(g)`
Hãy giúp mọi người biết câu trả lời này thế nào?

Bảng tin
24
420
11
7730961 -> A giúp e với ạ