

Hãy luôn nhớ cảm ơn và vote 5*
nếu câu trả lời hữu ích nhé!
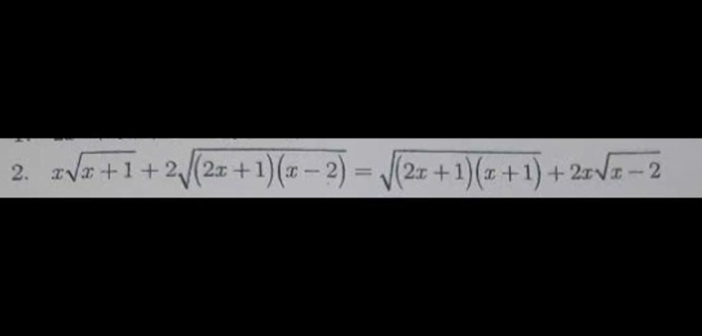
`x\sqrt{x+1}+2\sqrt{(2x+1)(x-2)}=\sqrt{(2x+1)(x+1)}+2x\sqrt{x-2}`
`x\sqrt{x+1}+2·\sqrt{2x+1}·\sqrt{x-2}=\sqrt{2x+1}·\sqrt{x+1}+2x\sqrt{x-2}`
`x\sqrt{x+1}-\sqrt{2x+1}·\sqrt{x+1}+2·\sqrt{2x+1}·\sqrt{x-2}-2x\sqrt{x-2}=0`
`\sqrt{x+1}(x-\sqrt{2x+1})+2\sqrt{x-2}(\sqrt{2x+1}-x)=0`
`\sqrt{x+1}(x-\sqrt{2x+1})-2\sqrt{x-2}(x-\sqrt{2x+1})=0`
`(\sqrt{x+1}-2\sqrt{x-2})(x-\sqrt{2x+1})=0`
`Th1:`
`\sqrt{x+1}-2\sqrt{x-2}=0`
`\sqrt{x+1}=2\sqrt{x-2}`
`x+1=4(x-2)`
`x+1=4x-8`
`x-4x=-8-1`
`-3x=-9`
`x=3`
`Th2:`
`x-\sqrt{2x+1}=0`
`x=\sqrt{2x+1}`
`x^2=2x+1`
`x^2-2x-1=0`
`Δ'=(-1)^2-1·(-1)=2>0`
`⇒` pt có `2` nghiệm pb
`x_1=(-(-1)+\sqrt{2})/1=1+\sqrt{2}`
`x_1=(-(-1)-\sqrt{2})/1=1-\sqrt{2}`
Thử lại thấy `1-\sqrt{2}` không thỏa mãn
Vậy `x in {3;1+\sqrt{2}}`
Hãy giúp mọi người biết câu trả lời này thế nào?
Bảng tin